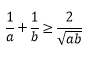
设a,b是正实数,则1/a+1/b存在最小值。(1)已知ab的值。(2)已知a,b是方程x²-(a+b)x+2=0的不同实根。
A
本题考查的是均值不等式与一元二次方程的根。已知a,b是正实数,条件(1):因为a>0,b>0,由均值不等式可知,当a=b时存在最小值,又因为题目中已知ab的值,所以存在最小值为,故条件一充分;条件(2):由均值不等式可知,当a=b时存在最小值,而a,b是方程x²-(a+b)x+2=0的不同实根,a和b不能相同,所以无法取得最小值,故条件二不充分。所以本题选A。
扫描微信二维码,添加您的专属老师为好友
您在考试中遇到任何问题,老师都会帮您解答
您希望我们通过哪种方式与您联系?
您已选择电话/微信/QQ的联系方式,课程顾问会尽快联系您!
您已选择微信联系方式,课程顾问会尽快添加您的微信,请您确认通过!
您已选择QQ联系方式,课程顾问会尽快添加您的QQ,请您确认通过!
您已选择电话联系方式,课程顾问会尽快联系您!
您已选择“不联系”,课程顾问不会主动联系您。如果后续您有需求,可以在个人中心主动添加销售微信或拨打客服电话:400-111-9811