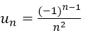
无穷级数的敛散性为()
B
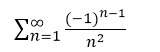
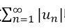
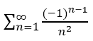
本题考查无穷级数-数项级数的审敛法-绝对收敛和条件收敛。该无穷级数的一般项已知, 可知 , 故该级数收敛,且为绝对收敛。
故本题选B。
如果级数收敛,则称级数绝对收敛;
如果级数发散,则称级数 绝对发散。
扫描微信二维码,添加您的专属老师为好友
您在考试中遇到任何问题,老师都会帮您解答
您希望我们通过哪种方式与您联系?
您已选择电话/微信/QQ的联系方式,课程顾问会尽快联系您!
您已选择微信联系方式,课程顾问会尽快添加您的微信,请您确认通过!
您已选择QQ联系方式,课程顾问会尽快添加您的QQ,请您确认通过!
您已选择电话联系方式,课程顾问会尽快联系您!
您已选择“不联系”,课程顾问不会主动联系您。如果后续您有需求,可以在个人中心主动添加销售微信或拨打客服电话:400-111-9811