【考点】本题考查二叉树的遍历。
【考法】根据前序序列和后序序列分析可能的中序序列
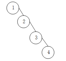
【解析】前序遍历二叉树是先访问根结点,再遍历左子树,最后遍历右子树。而后序遍历二叉树先遍历左子树,再遍历右子树,最后访问根结点。已知二叉树的前序遍历序列与中序遍历序列可以唯一确定一棵二叉树,因此可以通过带入A、B、C、D各选项构造二叉树,再检查构造后的二叉树的后序遍历序列是否和题干中的后序序列相同。根据A选项和前序遍历序列构造二叉树如下:

后序遍历该二叉树得到序列:4321,与题干所给后序序列相同,因此A选项正确。
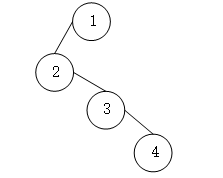
根据B选项和前序遍历序列构造二叉树如下:

后序遍历该二叉树得到序列:4321,与题干所给后序序列相同,因此B选项正确。
根据C选项和前序遍历序列构造二叉树如下:

后序遍历该二叉树得到序列:3421,与题干所给后序序列不相同,因此C选项错误。
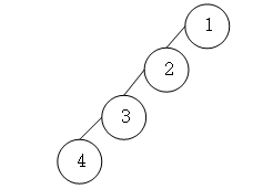
根据D选项和前序遍历序列构造二叉树如下:

后序遍历该二叉树得到序列:4321,与题干所给后序序列相同,因此D选项正确。故本题选C。