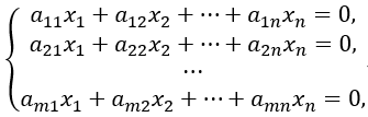
如果齐次线性方程组AX=0,A为n阶方阵,R(A)=r<n有非零解,则其基础解系中解向量的个数为________.
【答案】n-r
【考点】本题考查线性代数-线性方程组-齐次线性方程组-齐次线性方程组解的结构【解题思路】齐次线性方程组AX=0,当r(A)=r<n时,方程组的任一基础解系中含有n-r个解向量.【希赛点拨】齐次线性方程组只有零解的充分必要条件是r(A)=n,有非零解的充分必要条件是r(A)=r<n.当r(A)=r<n时,方程组的任一基础解系中含有n-r个解向量.
扫描微信二维码,添加您的专属老师为好友
您在考试中遇到任何问题,老师都会帮您解答
您希望我们通过哪种方式与您联系?
您已选择电话/微信/QQ的联系方式,课程顾问会尽快联系您!
您已选择微信联系方式,课程顾问会尽快添加您的微信,请您确认通过!
您已选择QQ联系方式,课程顾问会尽快添加您的QQ,请您确认通过!
您已选择电话联系方式,课程顾问会尽快联系您!
您已选择“不联系”,课程顾问不会主动联系您。如果后续您有需求,可以在个人中心主动添加销售微信或拨打客服电话:400-111-9811