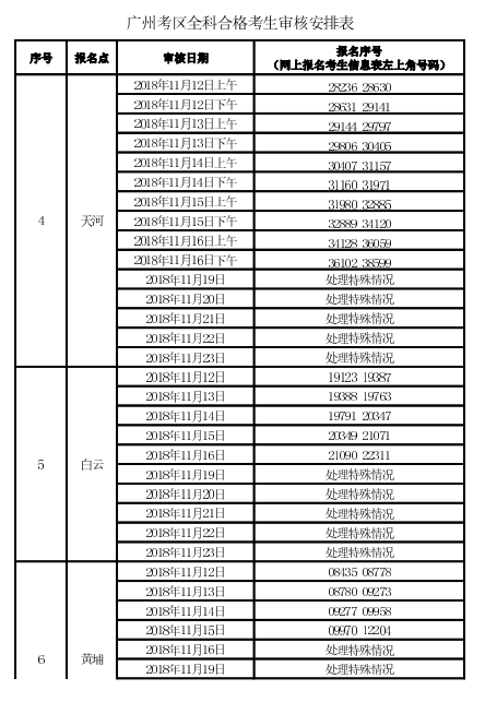
摘要:2018年广州中级会计师考后资格复核时间11月12日-23日,审核地点及需提交的资料等详情见下文。
广州考区2018年度全国会计专业技术中级资格考后资格复核的通知
相关阅读:
2018年中级会计职称考后资格审核地区汇总
全国2018年中级会计师成绩查询时间、查询入口汇总
2018年中级会计成绩查询常见问题解答
2018年中级会计师考试真题及答案汇总(各科)
免费试学
中级会计职称备考资料免费领取
去领取
共收录117.93万道题 已有25.02万小伙伴参与做题
中级会计视频课程
中级会计考试题库
历年会计中级考试真题及答案汇总
售后投诉:156-1612-8671
您还不是该课程的学员,无法下载哦~点击下方立即学习,即可下载更多专享资料
您希望我们通过哪种方式与您联系?
您已选择电话/微信/QQ的联系方式,课程顾问会尽快联系您!
您已选择微信联系方式,课程顾问会尽快添加您的微信,请您确认通过!
您已选择QQ联系方式,课程顾问会尽快添加您的QQ,请您确认通过!
您已选择电话联系方式,课程顾问会尽快联系您!
您已选择“不联系”,课程顾问不会主动联系您。如果后续您有需求,可以在个人中心主动添加销售微信或拨打客服电话:400-111-9811