摘要:2015年系统分析师考试真题上午综合知识部分,供大家参考学习。
以下为2015年系统分析师考试真题上午综合知识部分,供大家参考学习。
●UML结构中的公共机制是指达到特定目标的公共UML方法,其中__(1)__是事物语义的细节描述,它是模型真正的核心;__(2)__包括约束、构造型和标记值。
(1)A.规则说明
B.修饰
C.公共分类
D.扩展机制
(2)A.规则说明
B.修饰
C.公共分类
D.扩展机制
●UML用关系把事物结合在一起,其所包含的四种关系中,__(3)__描述一组对象之间连接的结构关系;__(4)__描述特殊元素的对象可以替换一般元素的对象。
(3)A.依赖关系
B.关联关系
C.泛化关系
D.实现关系
(4)A.依赖关系
B.关联关系
C.泛化关系
D.实现关系
●UML所包括的图形中,__(5)__将进程或其他计算结构展示为计算内部的控制流和数据流,主要用来描述系统的动态视图。
(5)A.流程图
B.通信图
C.活动图
D.协作图
●IEEE 802.1x是一种__(6)__认证协议。
(6)A.用户ID
B.报文
C.MAC地址
D.SSID
●为了弥补WEP的安全缺陷,WPA安全认证方案中新增的机制是__(7)__。
(7)A.共享密钥认证
B.临时密钥完整性协议
C.较短的初始化向量
D.采用更强的加密算法
●信息系统安全可划分为物理安全、网络安全、系统安全和应用安全,__(8)__属于系统安全,__(9)__属于应用安全。
(8)A.机房安全
B.入侵检测
C.漏洞补丁管理
D.数据库安全
(9)A.机房安生
B.入侵检测
C.漏洞补丁管理
D.数据库安全
●王某是某公司软件设计师,每当软件开发完成后均按公司规定编写软件文档,并提交公司存档。该软件文档的著作权__(10)__享有。
(10)A.应由公司
B.应由公司和王某共同
C.应自王某
D.除署名权以外,著作权的其他权利由王某
●王某原是M软件公司的软件设计师,一直从事计算机网络端口优化处理的研发工作。王某退休10个月完成了网络端口优化处理程序发明,解决了计算机网络端口有效利用率技术问题。该项涉及计算机程序发明的专利申请权应由__(11)__享有。
(11)A.公司
B.王某
C.公司、王某
D.先申请者
●美国甲公司生产的平板计算机在其本国享有“A”注册商标专用权,但未在中国申请注册。我国乙公司生产的平板计算机也使用“A”商标,并享有我国注册商标专用权。美国甲公司与我国的乙公司生产的平板计算机都在我国市场上销售。此情形下,依据我国商标法__(12)__商标权。
(12)A.甲公司侵犯了乙公司的
B.甲公司与乙公司均未侵犯
C.乙公司侵犯了甲公司的
D.甲公司与乙公司均侵犯了
●王某原是M软件公司的项目经理,未与M软件公司签订劳动合同及相应的保密协议。王某离职后受聘于L软件公司,先后将其在M软件公司任职期间掌握的软件开发思想、处理过程及客户信息等用于L软件公司的开发与管理活动,提高了L软件公司的经济效益。王某行为__(13)__。
(13)A.侵犯了M软件公司的软件著作权
B.侵犯了M软件公司的商业秘密权
C.既侵犯M软件公司的软件著作权,也侵犯M软件公司的商业秘密权
D.既未侵犯M软件公司的软件著作权,也未侵犯M软件公司的商业秘密权
●Flynn分类法根据计算机在执行程序的过程中__(14)__的不同组合,将计算机分为4类。当前主流的多核计算机属于__(15)__计算机。
(14)A.指令流和数据流
B.数据流和控制流
C.指令流和控制流
D.数据流和总线带宽
(15)A.SISD
B.SIMD
C.MISD
D.MIMD
●下列关于虚拟存储器的叙述中,正确的是__(16)__。
(16)A.对应用程序员透明,对系统程序员不透明
B.对应用程序员不透明,对系统程序员透明
C.对应用程序员、系统程序员都不透明
D.对应用程序员、系统程序员都透明
●某计算机系统采用集中式总线仲裁方式,各个主设备得到总线使用权的机会基本相等,则该系统采用的总线仲裁方式__(17)__。
①菊花链式查询方式②计数器定时查询(轮询)方式③独立请求方式
(17)A.可能是③,不可能是①或②
B.可能是②或⑨,不可能是①
C.可能是②,不可能是①或③
D.可能是①、②或③
●关于大规模并行处理器MPP,以下说法不正确的是__(18)__。
(18)A.大多数MPP系统使用标准的CPU作为它们的处理器
B.其互连网络通常采用商用的以太网实现
C.是一种异步的分布式存储器结构的MIMD系统
D.使用特殊的硬件和软件来监控系统、检测错误并从错误中平滑地恢复
●某政府机关希望将位于单位内部信息系统中的新闻、信息等发布到互联网上,并实现一部分网上办公能力。对于这种应用集成需求,最适合的集成方式是__(19)__。
(19)A.数据集成
B.界面集成
C.API集成
D.门户集成
●某软件公司分为研发、人力资源管理、市场营销等部门,通过部门之间互相协作完成项目。该公司的组织结构属于__(20)__。
(20)A.矩阵型组织结构
B.职能型组织结构
C.产品型组织结构
D.协作型组织结构
●某软件公司欲开发一个基于Web的考勤管理系统。在项目初期,客户对系统的基本功能、表现形式等要求并不明确,在这种情况下,采用__(21)__开发方法比较合适。
(21)A.瀑布式
B.形式化
C.结构化
D.极限编程
●系统组织结构与功能分析中,可以采用多种工具,其中__(22)__描述了业务和部门的关系。
(22)A.组织/业务关系图
B.业务功能一览图
C.组织结构图
D.物资流图
●采用数据仓库技术进行数据收集时,有时会遇一些略微不一致但可以纠正的数据,纠正这些数据的过程称为__(23)__。
(23)A.数据转换
B.数据抽取
C.数据清洗
D.数据装载
●PERT图是进度安排的常用图形描述方法之一,它能够__(24)__。在PERT图上通过__(25)__分析可以计算完成整个项目的最短工期。
(24)A.描述每个任务的进展情况以及各个任务之间的并行性
B.反映各个任务之间的依赖关系
C.以日历为基准描述项目任务
D.用条形表示每个任务的持续时间
(25)A.松弛时间
B.依赖关系
C.关键路径
D.并行关系
●下列活动,__(26)__不属于需求开发活动的范畴。
(26)A.跟据系统需求识别和确认系统功能
B.将所收集的用户需求编写成文档和模型
C.针对系统特点,考虑并确定系统开发平台与程序设计语言
D.了解实际用户任务和目标以及这些任务所支持的业务需求
●__(27)__把软件项目整体或者主要的可交付成果分解为易于管理、方便控制的若干个子项目;再将子项目继续分解为工作包。在每个分解单元中,都存在可交付成果和里程碑。该模型的主要用途是__(28)__。
(27)A.分层数据流图
B.软件模块图
C.工作分解结构WBS
D.PERT图
(28)A.描述软件项目的功能需求
B.定义项目边界,有助于防止需求蔓延
C.对软件的静态结构进行建模
D.刻画软件开发活动之间的依赖关系
●在进行需求开发的过程中,__(29)__可能会给项目带来风险。
(29)A.对于每项需求的可行性均进行分析,以确定是否能按计划实现
B.使用模型和原型描述一些模糊的需求
C.评估每项新需求的优先级,并与已有工作对比,做出相应的决策
D.采用最新的技术、工具或平台实现关键需求
●在系统开发中,原型可以划分为不同的种类。从原型是否实现功能来分,可以分为水平原型和垂直原型;从原型最终结果来分,可以分为抛弃式原型和演化式原型。以下关于原型的叙述中,正确的是__(30)__。
(30)A.水平原型适合于算法较为复杂的项目
B.垂直原型适合于Web项目
C.抛弃式原型适合于需求不确定、不完整、含糊不清的项目
D.演化式原型主要用于界面设计
●面向服务的开发方法有三个主要的抽象级别:操作、服务和业务流程。以下关于操作、服务和业务流程的叙述中,正确的是__(31)__。
(31)A.位于较高层的操作代表单个逻辑单元的事物
B.服务的执行通常会导致读、写或修改一个或多个持久性数据
C.业务流程代表操作的逻辑分组
D.服务的操作具有特定的结构化接口,并且返回结构化的响应
●软件配置管理中,每一项配置变更都要在配置状态报告中进行详细的记录。配置状态报告的信息流如下图所示,图中①②③处分别是__(32)__。

(32)A.配置确定、配置审核、配置控制
B.配置审核、配置控制、配置确定
C.配置确定、配置控制、配置审核
D.配置控制、配置确定、配置审核
●以下不属于软件容错技术的是__(33)__。
(33)A.热备份或冷备份系统
B.纠错码
C.三模冗余
D.程序走查
●某在线交易平台的“支付”功能需求描述如下:客户进行支付时,可以使用信用卡支付或支付宝支付。从中抽象出3个用例:支付、信用卡支付和支付宝支付,这3个用例之间的关系是__(34)__。
A.
B.
C.
D.
●UML用系统视图描述系统的组织结构。其中,__(35)__对组成基于系统的物理代码的文件和构件进行建模。
(35)A.用例视图
B.逻辑视图
C.实现视图
D.部署视图
●采用以下设计思路实现下图所示的目录浏览器:目录中的每个目录项被认定为一个类,其属性包括名称、类型(目录或文件)、大小、扩展名、国标等。为节省内存空间,要求不能将具有相同属性(例如类型、扩展名、图标相同)的相同文件看作不同的对象。能够满足这一要求的设计模式是__(36)__。

(36)A.Flyweight
B.Proxy
C.Command
D.State
●以下关于企业应用集成的叙述中,正确的是__(37)__。
(37)A.过程集成为用户提供一个看上去统一,但是由多个系统组成的应用系统
B.实现表示集成时,可以借助于远程过程调用、分布式对象技术等方法
C.数据集成适合于业务逻辑经常发生变化的场合
D.控制集成是在业务逻辑层上对应用系统进行集成,其集成点在程序代码中
●企业信息化战略与企业战略集成时,对于现有信息系统不能满足当前管理中业务需要的企业,适用的方法是__(38)__。
(38)A.EITA(企业IT架构)
B.BPR(业务流程重组)
C.BITA(业务与IT整合)
D.ERP(企业资源计划)
●在综合考虑企业内外环境,以集成为核心,围绕企业战略需求进行信息系统规划时,适合于采用的方法是__(39)__。
(39)A.战略栅格法
B.价值链分析法
C.信息工程法
D.战略集合转化法
●数据仓库中数据__(40)__的特点是指数据一旦进入数据仓库后,将被长期保留并定期加载和刷新,可以进行各种查询操作,但很少对数据进行修改和删除操作。
(40)A.面向主题
B.集成性
C.相对稳定性
D.反映历史变化
●数据挖掘的分析方法可以划分为关联分析、序列模式分析、分类分析和聚类分析四种。如果某方法需要一个示例库(该库中的每个元组都有一个给定的类标识)做训练集时,这种分析方法属于__(41)__。
(41)A.关联分析
B.序列模式分析
C.分类分析
D.聚类分析
●给定关系模式R(A1,A2,A3,A4),R上的函数依赖集F={A1A3->A2,A2->A3},则R__(42)__。若将R分解为p={(A1,A2),(A1,A3)},那么该分解__(43)__。
(42)A.有一个候选关键字A1A3
B.有一个候选关键字A1A2A3
C.有两个候选关键字A1A3A4和A1A2A4
D.有三个候选关键字A1A2、A1A3和A1A4
(43)A.是无损联接的
B.是保持函数依赖的
C.既是无损联接又保持函数依赖
D.既是有损联接又不保持函数依赖
●关系R、S如下表所示,R÷(πA1,A2(σ1<3(S)))的结果为__(44)__,R、S的左外联接、右外联接和完全外联接的元组个数分别为__(45)__。

(44)A.{4}
B.{3,4}
C.{3,4,7}
D.{(1,2),(2,1),(3,4),(4,7)}
(45)A.2,2,4
B.2,2,6
C.4,4,4
D.4,4,6
●当用户开机按下PC机电源开关对,PC机首先执行的是__(46)__,然后加载__(47)__。
(46)A.硬盘上主引导记录
B.硬盘上分区引导记录
C.主板上的BIOS引导程序
D.软盘上的引导记录
(47)A.相关支撑软件,如各种设备驱动程序
B.分区引导记录、配置系统,并执行分区引导记录
C.操作系统,如Windows XP、Windows 7、UNIX等
D.主引导记录和引导驱动器的分区表,并执行主引导记录
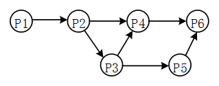
●进程P1、P2、P3、P4、P5和P6的前趋图如下所示:

若用PV操作控制这6个进程的同步与互斥的程序如下,那么程序中的空①和空②处应分别为__(48)__;空③和空④处应分别为__(49)__;空⑤和空⑥处应分别为__(50)__。

(48)A.V(S1)和P(S2)
B.P(S1)和V(S2)
C.V(S1)和V(S2)
D.V(S2)和P(S1)
(49)A.V(S4)V(S5)和P(S3)
B.P(S4)P(S5)和V(S3)
C.V(S3)V(S4)和V(S5)
D.P(S3)V(S4)和P(S3)
(50)A.P(S6)和V(S5)
B.P(S6)和P(S5)
C.V(S5)和V(S6)
D.V(S6)和P(S5)
●嵌入式系统初始化过程主要有3个环节,按照自底向上、从硬件到软件的次序依次为__(51)__。
(51)A.片级初始化→系统级初始化→板级初始化
B.片级初始化→板级初始化→系统级初始化
C.系统级初始化→板级初始化→片级初始化
D.系统级初始化→片级初始化→板级初始化
●线性规划问题不可能__(52)__。
(52)A.没有最优解
B.只有一个最优解
C.只有2个最优解
D.有无穷多个最优解
●某工程的进度计划网络图如下,其中包含了①~⑩10个结点,结点之间的箭线表示作业及其进度方向,箭线旁标注了作业所需的时间(单位:周)。设起始结点①的时间为0,则结点⑤的最早时间和最迟时间分别为__(53)__周。

(53)A.9,19
B.9,18
C.15,17
D.15,16
●某石油管理公司拥有下图所示的输油管道网。其中有6个站点,标记为①~⑥。站点①是供油站。各站点之间的箭线表示输油管道和流向。箭线边上标注的数字表示该管道的最大流量(单位:百吨/小时)。据此可算出,从站点①到达站点⑥的最大流量为__(54)__百吨/小时,而且当管道__(55)__关闭维修时管道网仍可按该最大流量值向站点⑥供油。

(54)A.14
B.15
C.16
D.18
(55)A.②→③
B.②→⑤
C.③→④
D.⑤→④
●某公司拟将5百万元资金投放下属A、B、C三个子公司(以百万元的倍数分配投资),各子公司获得部分投资后的收益如下表所示(以百万元为单位)。该公司投资的总收益至多为__(56)__百万元。

(56)A.4.8
B.5
C.5.2
D.5.5
●已知17个自然数(可有重复)的最小值是30,平均值是34,中位数是35,所有各数到38的距离之和比到35的距离之和多5,由此可以推断,这17个数中只有1个__(57)__。
(57)A.30
B.34
C.36
D.37
●某团队希望在未来18天内串行选做若干个作业。供选各作业所需的实施时间(天数)、截止时间(最迟必须在指定的数天内完工)以及利润见下表:

该团队只要能适当选择若干个作业依次实施,就能获得最大利润__(58)__万元。
(58)A.23
B.24
C.25
D.26
●某博览会每天8:00开始让观众通过各入口处检票进场,8:00前已经有很多观众在排队等候。假设8:00后还有不少观众均匀地陆续到达,而每个入口处对每个人的检票速度都相同。根据以往经验,若开设8个入口,则需要60分钟才能让排队观众全部入场;若开设10个入口,则需要40分钟才能消除排队现象。为以尽量少的入口数确保20分钟后消除排队现象,博览会应在8:00和8:20开设的入口数分别为__(59)__。
(59)A.12,2
B.14,4
C.16,4
D.18,6
●计算机系统性能评估中,__(60)__考虑了各类指令在程序中所占的比例。__(61)__考虑了诸如I/O结构、操作系统、编译程序的效率对系统性能的影响,可以较为准确评估计算机系统的实际性能。
(60)A.时钟频率法
B.等效指令速度法
C.综合理论性能法
D.基准程序法
(61)A.时钟频率法
B.等效指令速度法
C.综合理论性能法
D.基准程序法
●MPEG-1视频编码标准中定义了__(62)__种不同类型的视频帧,其中没有使用帧间编码能够直接作为索引点的是__(63)__。
(62)A.2
B.3
C.4
D.5
(63)A.I帧
B.P帧
C.B帧
D.S帧
●网络管理系统中故障管理的目标是__(64)__。
(64)A.自动排除故障
B.优化网络性能
C.提升网络安全
D.自动监测故障
●使用netstat-o命令可__(65)__。
(65)A.显示所测试网络的IP、ICMP、TCP、UDP协议的统计信息
B.显示以太网统计信息
C.以数字格式显示所有连接、地址及端口
D.显示每个连接的进程ID
●所列出的4个IPv6地址中,无效的地址是__(66)__。
(66)A.::192:168:0:1
B.:2001:3452:4955:2367::
C.2002:c0a8:101::43
D.2003:dead:beef:4dad:23:34:bb:101
●IPv6站点通过IPv4网络通信需要使用隧道技术,常用的3种自动隧道技术是__(67)__。
(67)A.VPN隧道、PPTP隧道和IPsec隧道
B.6to4隧道、6over4隧道和ISATAP隧道
C.VPN隧道、PPP隧道和ISATAP隧道
D.IPsec隧道、6over4隧道和PPTP隧道
●如果在网络的入口处通过设置ACL封锁了TCP和UDP端口21、23和25,则能够访问该网络的应用是__(68)__。
(68)A.FTP
B.DNS
C.SMTP
D.Telnet
●4G移动通信标准TD-LTE与LTE FDD的区别是__(69)__。
(69)A.频率的利用方式不同
B.划分上下行信道的方式不同
C.采用的调制方式有区别
D.拥有专利技术的厂家不同
●如果发现网络的数据传输很慢,服务质量也达不到要求,应该首先检查__(70)__的工作情况。
(70)A.物理层
B.会话层
C.网络层
D.传输层
●A requirement is simply a statement of what the system must do or what characteristics it needs to have.Requirements evolve from broad statements of overall __(71)__ from the system to detailed statements of the business capabilities that a system should support to detailed technical statements of the way in which the capabilities will be implemented in the new system.__(72)__ focus on describing how to create the software product that will be produced from the project Nonfunctional requirements are primarily used in the design phase when decisions are made about the user interface,the hardware and software,and the system's underlying architecture.The system's physical and technical environments would be considered __(73)__.The speed,capacity,and reliability of the system belong to __(74)__.__(75)__ describes that who has authorized access to the system under what circumstances.
(71)A.business needs
B.operation processes
C.technical specification
D.function components
(72)A.User requirements
B.Business requirements
C.Function requirements
D.System requirements
(73)A.a functional requirement
B.a technical requirement
C.an operational requirement
D.a service requirenient
(74)A.security requirement
B.performance requirement
C.technical requirement
D.information requirement
(75)A.System constraint
B.Cultural requirement
C.Control requirement
D.Security requirement
软考科目怎么选?
微信扫码下方二维码找答案
▼ ▼ ▼
热门:信息系统监理师备考 | 网络工程师备考 | 软件设计师备考
推荐:信息系统项目管理师网络课堂 | 2026年软考报名时间及入口汇总表
活动:资料下载 | 新人礼包 | 春节不打烊 海量课程免费畅学![]()
课程:信息系统项目管理师报考指南 | PMP课程
软考备考资料免费领取
去领取
专注在线职业教育25年