摘要:下面是关于2013下半年软件设计师上午真题第二部分内容。点击查看完整版2013下半年软件设计师上午真题汇总。
>>>2017年软件设计师网络课堂课
>>>软件设计师历年真题题库
>>>2017年软件设计师考试指南
下面是关于2013下半年软件设计师上午真题第二部分内容。点击查看完整版2013下半年软件设计师上午真题汇总
● 在对程序质量进行评审时,模块结构是一个重要的评审项,评审内容中不包括( )。
(36)A.数据结构
B.数据流结构
C.控制流结构
D.模块结构与功能结构之间的对应关系
● ( )不是增量式开发的优势。
(37)A.软件可以快速地交付
B.早期的增量作为原型,从而可以加强对系统后续开发需求的理解
C.具有较高优先级的功能首先交付,随着后续的增量不断加入,这就使得更重要的功能得到更多的测试
D.很容易将客户需求划分为多个增量
● ( )开发过程模型最不适用开发初期对软件需求缺乏准确全面认识的情况。
(38)A.瀑布
B.演化
C.螺旋
D.增量
● 一个程序根据输入的年份和月份计算该年中该月的天数,输入参数包括年份(正整数)、月份(用1~12表示)。若用等价类划分测试方法进行测试,则( )不是一个合适的测试用例(分号后表示测试的输出)。
(39)A.(2013,1,31)
B.(0,1,‘错误’)
C.(0,13,‘错误’)
D.(2001,-1,‘错误’)
● ( )不是单元测试主要检查的内容。
(40)A.模块接口
B.局部数据结构
C.全局数据结构
D.重要的执行路径
● 在领域类模型中不包含( )。
(41)A.属性
B.操作
C.关联
D.领域对象
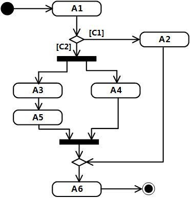
● 在执行如下所示的UML活动图时,能同时运行的最大线程数为( ) 。
(42)A.4
B.3
C.2
D.1
● 下图所示的UML序列图中,( )表示返回消息,Account应该实现的方法有( )。
(43)A.xfer
B.check
C.evaluation
D.minus
(44)A.xfer()
B.xfer()、plus()和minus()
C.check()、plus()和minus()
D.xfer()、evaluation()、plus()和minus()
● ( )设计模式定义一系列算法,把它们一个个封装起来,并且使它们可相互替换。这一模式使得算法可独立于它的客户而变化。
(45)A.策略(Strategy)
B.抽象工厂(Abstract Factory)
C.观察者(Observer)
D.状态(State)
● 在发布-订阅(Publish-Subscibe)消息模式中,订阅者订阅一个主题后,当该主题有新消息到达时,所有订阅者都会收到通知。( )设计模式最适合之一模式。
(46)A.适配器(Adapter)
B.通知(Notifier)
C.状态(State)
D.观察者(Observer)
● 下图所示为( )设计模式,适用于:( )。
(47)A.组件(Component)
B.适配器(Adapter)
C.组合(Composite)
D.装饰器(Decorator)
(48)A.表示对象的部分-整体层次结构
B.不希望在抽象和它的实现部分之间有一个固定的绑定关系
C.在不影响其他对象的情况下,以动态、透明的方式给单个对象添加职责
D.使所有接口不兼容类可以一起工作
● 将高级语言程序翻译为机器语言程序的过程中,常引入中间代码,其好处是( )。
(49)A.有利于进行反编译处理
B.有利于进行与机器无关的优化处理
C.尽早发现语法错误
D.可以简化语法和语义分析
● 对高级语言源程序进行编译的过程中,有穷自动机(NFA或DFA)是进行( )的适当工具。
(50)A.词法分析
B.语法分析
C.语义分析
D.出错处理
● 若有关系R(A,B,C,D,E)和S(B,C,F,G),则R与S自然联结运算后的属性列有( )个,与表达式π1,3,6,7(σ3<6(R∞S))等价的SQL语句如下:
SELECT ( ) FROM ( ) WHERE ( );
(51)A.5
B.6
C.7
D.9
(52)A.A,R.C,F,G
B.A,C,S.B,S.F
C.A,C,S.B,S.C
D.R.A,R.C,S.B,S.C
(53)A.R
B.S
C.RS
D.R,S
(54)A.R.B= S.B AND R.C = S.C AND R.C<S.B
B.R.B= S.B AND R.C = S.C AND R.C<S.F
C.R.B= S.B OR R.C = S.C OR R.C<S.B
D.R.B= S.B OR R.C = S.C OR R.C<S.F
● 在分布式数据库系统中,( ) 是指用户无需知道数据存放的物理位置。
(55)A.分片透明
B.复制透明
C.逻辑透明
D.位置透明
● 计算机系统的软硬件故障可能会造成数据库中的数据被破坏。为了防止这一问题,通常需要( ),以便发生故障时恢复数据库。
(56)A.定期安装DBMS和应用程序
B.定期安装应用程序,并将数据库做镜像
C.定期安装DBMS,并将数据库作备份
D.定期将数据库作备份;在进行事务处理时,需要将数据更新写入日志文件
● 以下关于线性表存储结构的叙述,正确的是( )。
(57)A.线性表采用顺序存储结构时,访问表中任意一个指定序号元素的时间复杂度为常量级
B.线性表采用顺序存储结构时,在表中任意位置插入新元素的运算时间复杂度为常量级
C.线性表采用链式存储结构时,访问表中任意一个指定序号元素的时间复杂度为常量级
D.线性表采用链式存储结构时,在表中任意位置插入新元素的运算时间复杂度为常量级
● 设循环队列Q的定义中有front和size两个域变量,其中front表示队头元素的指针,size表示队列的长度,如下图所示(队列长度为3,队头元素为x,队尾元素为z)。设队列的存储空间容量为M,则队尾元素的指针为 ( )。
(58)A.(Q.front+Q.size-1)
B.(Q.front+Q.size-1+M)%M
C.(Q.front-Q.size)
D.(Q.front-Q.size+M)%M
● 在一个有向图G的拓扑序列中,顶点Vi排列在Vj之前,说明图G中( )。
(59)A.一定存在弧<vi,vj>
B.一定存在弧<vj,vi>
C.可能存在vi到vj的路径,而不可能存在vj到vi的路径
D.可能存在vj到vi的路径,而不可能存在vi到vj的路径
● 以下关于哈夫曼树的叙述,正确的是( )。
(60)A.哈夫曼树一定是满二叉树,其每层结点数都达到最大值
B.哈夫曼树一定是平衡二叉树,其每个结点左右子树的高度差为-1、0或1
C.哈夫曼树中左孩子结点的权值小于父节点、右孩子节点的权值大于父节点
D.哈夫曼树中叶子节点的权值越小则距离树根越远、叶子结点的权值越大则距离树根越近
● 某哈希表(散列表)的长度为n,改散列函数为H(Key) = Key mod p,采用线性探测法解决冲突。以下关于P值的叙述中,正确的是( )。
(61)A.p的值一般为不大于n且最接近n的质数
B.p 的值一般为大于n的任意整数
C.p 的值必须为小于n的合数
D.p 的值必须等于n
● 对n个基本有序的整数进行排序,若采用插入排序算法,则时间和空间复杂度分别为( );若采用快速排序算法,则时间和空间复杂度分别为( )。
(62)A.O(n2)和O(n)
B.O(n)和O(n)
C.O(n2)和O(1)
D.O(n)和O(1)
(63)A.O(n2)和O(n)
B.O(nlgn)和O(n)
C.O(n2)和O(1)
D.O(nlgn)和O(1)
● 在求解某问题时,经过分析发现该问题具有最优子结构性质,求解过程中子问题被重复求解,则采用 ( )算法设计策略;若定义问题的解空间,以深度优先的方式搜索解空间,则采用( )算法设计策略。
(64)A.分治
B.动态规划
C.贪心
D.回溯
(65)A.动态规划
B.贪心
C.回溯
D.分支限界
● 某单位局域网配置如下图所示,PC2发送到Internet上的报文源IP地址为( )。
(66)A.192.168.0.2
B.192.168.0.1
C.202.117.112.1
D.202.117.112.2
● 在IPv4向IPv6过渡期间,如果要使得两个IPv6结点可以通过现有的IPv4网络进行通信,则应该使用( );如果要使得纯IPv6结点可以与纯IPv4结点进行通信,则需要使用( )。
(67)A.堆栈技术
B.双协议栈技术
C.隧道技术
D.翻译技术
(68)A.堆栈技术
B.双协议栈技术
C.隧道技术
D.翻译技术
● POP3协议采用__(69)__模式进行通信,当客户机需要服务时,客户端软件与POP3服务器建立__(70)__连接。
(69)A.Browser/Server
B.Client/Server
C.Peer to Peer
D.Peer to Server
(70)A.TCP
B.UDP
C.PHP
D.IP
● There is nothing in this world constant but inconstancy.--SWIFT Project after project designs a set of algorithms and then plunges into construction of customer-deliverable software on a schedule that demands delivery of the first thing built. In most projects,the first system built is __(71)__ usable,It may be too slow,too big,awkward to use,or all three.There is no __(72)__ but to start again,smarting but smarter,and build a redesigned version in which these problems are solved.The discard and __(73)__ may be done in one lump,or it may be done piece-by-piece.But all large-system experience shows that it will be done.Where a new system concept or new technology is used,one has to build a system to throw away,for even the best planning is not so omniscient(全知的)as to get it right the first time. The management question,therefore ,is not whether to build a pilot system and throw it away.You will do that.The only question is whether to plan in advance to build a __(74)__,or to promise to deliver the throwaway to customers.Seen this way,the answer is much clearer.Delivering that throwaway to customers buys time,but it does so only at the __(75)__ of agony(极大痛苦)for the user,distraction for the builders while they do the redesign,and a bad reputation for the product that best redesign will find hard to live down. Hence plan to throw one away;you will,anyhow.
(71)A.almost
B.often
C.usually
D.barely
(72)A.alternative
B.need
C.possibility
D.solution
(73)A.design
B.redesign
C.plan
D.build
(74)A.throwaway
B.system
C.software
D.product
(75)A.worth
B.value
C.cost
D.invaluable
软考不知道考啥科目?扫码测最适合你的报考科目

热门活动:快来做套软考模拟试卷【考前实战演练】![]()
软考备考资料免费领取
去领取
专注在线职业教育25年