摘要:以下为2011年系统架构设计师考试上午真题,含综合知识全部75道题,供大家参考学习。更多软考真题答案与解析,请进入希赛网在线题库查看。
以下为2011年系统架构设计师考试上午真题,含综合知识全部75道题,供大家参考学习。
操作系统为用户提供了两类接口:操作一级和程序控制一级的接口,以下不属于操作一级的接口是(1)。
A.操作控制命令
B.系统调用
C.菜单
D.窗口
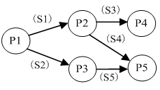
进程P1、P2、P3、P4和P5的前趋图如下:

若用PV操作控制进程P1~P5并发执行的过程,则需要设置5个信号量S1、S2、S3、S4和S5,进程间同步所使用的信号量标注在上图中的边上,且信号量S1~S5的初值都等于零,初始状态下进程P1开始执行。下图中a、b和c处应分别填写(2);d和e处应分别填写(3),f和g处应分别填写(4)。

(2)A.V(S1)V(S2)、P(S1)和V(S3)V(S4)
B.P(S1)V(S2)、P(S1)和P(S2)V(S1)
C.V(S1)V(S2)、P(S1)和P(S3)P(S4)
D.P(S1)P(S2)、V(S1)和P(S3)V(S2)
(3)A.P(S1)和V(S5)
B.V(S1)和P(S5)
C.P(S2)和V(S5)
D.V(S2)和P(S5)
(4)A.P(S3)和V(S4)V(S5)
B.P(S3)和P(S4)P(S5)
C.V(S3)和V(S4)V(S5)
D.V(S3)和P(S4)P(S5)
某企业工程项目管理数据库的部分关系模式如下所示,其中带实下划线的表示主键,虚下划线的表示外键。

其中供应关系是(5)的联系。若一个工程项目可以有多个员工参加,每个员工可以参加多个项目,则项目和员工之间是(6)联系。对项目和员工关系进行设计时,(7)设计成一个独立的关系模式。
(5)A.2个实体之间的1:n
B.2个实体之间的n:m
C.3个实体之间的1:n:m
D.3个实体之间的k:n:m
(6)A.1:1
B.1:n
C.n:m
D.n:1
(7)A.多对多的联系在向关系模型转换时必须
B.多对多的联系在向关系模型转换时无须
C.只需要将一端的码并入多端,所以无须
D.不仅需要将一端的码并入多端,而且必须
给定学生S(学号,姓名,年龄,入学时间,联系方式)和选课SC(学号,课程号,成绩)关系,若要查询选修了1号课程的学生学号、姓名和成绩,则该查询与关系代数表达式(8)等价。
A.
B.
C.
D.
以下关于CISC(Complex Instruction Set Computer,复杂指令集计算机)和RISC(Reduced Instruction Set Computer,精简指令集计算机)的叙述中,错误的是(9)。
A.在CISC中,复杂指令都采用硬布线逻辑来执行
B.一般而言,采用CISC技术的CPU,其芯片设计复杂度更高
C.在RISC中,更适合采用硬布线逻辑执行指令
D.采用RISC技术,指令系统中的指令种类和寻址方式更少
以下关于Cache的叙述中,正确的是(10)。
A.在容量确定的情况下,替换算法的时间复杂度是影响Cache命中率的关键因素
B.Cache的设计思想是在合理的成本下提高命中率
C.Cache的设计目标是容量尽可能与主存容量相等
D.CPU中的Cache容量应大于CPU之外的Cache容量
虚拟存储器发生页面失效时,需要进行外部地址变换,即实现(11)的变换。
A.虚地址到主存地址
B.主存地址到Cache地址
C.主存地址到辅存物理地址
D.虚地址到辅存物理地址
挂接在总线上的多个部件,(12)。
A.只能分时向总线发送数据,并只能分时从总线接收数据
B.只能分时向总线发送数据,但可同时从总线接收数据
C.可同时向总线发送数据,并同时从总线接收数据
D.可同时向总线发送数据,但只能分时从总线接收数据
核心层交换机应该实现多种功能,下面选项中,不属于核心层特性的是(13)。
A.高速连接
B.冗余设计
C.策略路由
D.较少的设备连接
建筑物综合布线系统中的垂直子系统是指(14)。
A.由终端到信息插座之间的连线系统
B.楼层接线间的配线架和线缆系统
C.各楼层设备之间的互连系统
D.连接各个建筑物的通信系统
网络设计过程包括逻辑网络设计和物理网络设计两个阶段,下面的选项中,(15)应该属于逻辑网络设计阶段的任务。
A.选择路由协议
B.设备选型
C.结构化布线
D.机房设计
随着业务的增长,信息系统的访问量和数据流量快速增加,采用负载均衡(Load Balance)方法可避免由此导致的系统性能下降甚至崩溃。以下关于负载均衡的叙述中,错误的是(16)。
A.负载均衡通常由服务器端安装的附加软件来实现
B.负载均衡并不会增加系统的吞吐量
C.负载均衡可在不同地理位置、不同网络结构的服务器群之间进行
D.负载均衡可使用户只通过一个IP地址或域名就能访问相应的服务器
数据备份是信息系统运行管理时保护数据的重要措施。(17)可针对上次任何一种备份进行,将上次备份后所有发生变化的数据进行备份,并将备份后的数据进行标记。
A.增量备份
B.差异备份
C.完全备份
D.按需备份
某企业欲对内部的数据库进行数据集成。如果集成系统的业务逻辑较为简单,仅使用数据库中的单表数据即可实现业务功能,这时采用(18)方式进行数据交换与处理较为合适;如果集成系统的业务逻辑较为复杂,并需要通过数据库中不同表的连接操作获取数据才能实现业务功能,这时采用(19)方式进行数据交换与处理较为合适。
(18)A.数据网关
B.主动记录
C.包装器
D.数据映射
(19)A.数据网关
B.主动记录
C.包装器
D.数据映射
某大型商业公司欲集成其内部的多个业务系统,这些业务系统的运行平台和开发语言差异较大,而且系统所使用的通信协议和数据格式各不相同,针对这种情况,采用基于(20)的集成框架较为合适。除此以外,集成系统还需要根据公司的新业务需要,灵活、动态地定制系统之间的功能协作关系,针对这一需求,应该选择基于(21)技术的实现方式更为合适。
(20)A.数据库
B.文件系统
C.总线
D.点对点
(21)A.分布式对象
B.远程过程调用
C.进程间通信
D.工作流
软件产品配置是指一个软件产品在生存周期各个阶段所产生的各种形式和各种版本的文档、计算机程序、部件及数据的集合。该集合的每一个元素称为该产品配置中的一个配置项。下列不应该属于配置项的是(22)。
A.源代码清单
B.设计规格说明书
C.软件项目实施计划
D.CASE工具操作手册
软件质量保证是软件项目控制的重要手段,(23)是软件质量保证的主要活动之一。
A.风险评估
B.软件评审
C.需求分析
D.架构设计
利用需求跟踪能力链(traceability link)可以跟踪一个需求使用的全过程,也就是从初始需求到实现的前后生存期。需求跟踪能力链有4类,如下图所示:

其中的①和②分别是(24)。
A.客户需求、软件需求
B.软件需求、客户需求
C.客户需求、当前工作产品
D.软件需求、当前工作产品
通常有两种常用的需求定义方法:严格定义方法和原型方法。下述的各种假设条件中,“(25)”不适合使用严格定义方法进行需求定义。
A.所有需求都能够被预先定义
B.开发人员与用户之间能够准确而清晰地交流
C.需求不能在系统开发前被完全准确地说明
D.采用图形(或文字)充分体现最终系统
下列关于软件需求管理或需求开发的叙述中,正确的是(26)。
A.所谓需求管理是指对需求开发的管理
B.需求管理包括:需求获取、需求分析、需求定义和需求验证
C.需求开发是将用户需求转化为应用系统成果的过程
D.在需求管理中,要求维持对用户原始需求和所有产品构件需求的双向跟踪
RUP是一个二维的软件开发模型,其核心特点之一是(27)。RUP将软件开发生存周期划分为多个循环(cycle),每个循环由4个连续的阶段组成,每个阶段完成确定的任务。设计及确定系统的体系结构,制定工作计划及资源要求是在(28)阶段完成的。
(27)A.数据驱动
B.模型驱动
C.用例驱动
D.状态驱动
(28)A.初始(inception)
B.细化(elaboration)
C.构造(construction)
D.移交(transition)
在面向对象设计中,用于描述目标软件与外部环境之间交互的类被称为(29),它可以(30)。
(29)A.实体类
B.边界类
C.模型类
D.控制类
(30)A.表示目标软件系统中具有持久意义的信息项及其操作
B.协调、控制其他类完成用例规定的功能或行为
C.实现目标软件系统与外部系统或外部设备之间的信息交流和互操作
D.分解任务并把子任务分派给适当的辅助类
最少知识原则(也称为迪米特法则)是面向对象设计原则之一,指一个软件实体应当尽可能少地与其他实体发生相互作用。这样,当一个实体被修改时,就会尽可能少地影响其他的实体。下列叙述中,“(31)”不符最少知识原则。
A.在类的划分上,应当尽量创建松耦合的类
B.在类的设计上,只要有可能,一个类型应当设计成不变类
C.在类的结构设计上,每个类都应当尽可能提高对其属性和方法的访问权限
D.在对其他类的引用上,一个对象对其他对象的引用应当降到最低
下列关于各种软件开发方法的叙述中,错误的是(32)。
A.结构化开发方法的缺点是开发周期较长,难以适应需求变化
B.可以把结构化方法和面向对象方法结合起来进行系统开发,使用面向对象方法进行自顶向下的划分,自底向上地使用结构化方法开发系统
C.与传统方法相比,敏捷开发方法比较适合需求变化较大或者开发前期需求不是很清晰的项目,以它的灵活性来适应需求的变化
D.面向服务的方法以粗粒度、松散耦合和基于标准的服务为基础,增强了系统的灵活性、可复用性和可演化性
某公司欲开发一门户网站,将公司的各个分公司及办事处信息进行整合。现决定采用Composite设计模式来实现公司的组织结构关系,并设计了如下图所示的UML类图。图中与Composite模式中的“Component”角色相对应的类是(33),与“Composite”角色相对应的类是(34)。

(33)A.Company
B.FinanceDepartment
C.HRDepartment
D.ConcreteCompany
(34)A.Company
B.FinanceDepartment
C.HRDepartment
D.ConcreteCompany
企业战略数据模型可分为两种类型:(35)描述日常事务处理中的数据及其关系;(36)描述企业管理决策者所需信息及其关系。
(35)A.元数据模型
B.数据库模型
C.数据仓库模型
D.组织架构模型
(36)A.元数据模型
B.数据库模型
C.数据仓库模型
D.组织架构模型
运用信息技术进行知识的挖掘和(37)的管理是企业信息化建设的重要活动。
A.业务流程
B.IT基础设施
C.数据架构
D.规章制度
以下关于企业信息化方法的叙述中,正确的是(38)。
A.业务流程重构是对企业的组织结构和工作方法进行重新设计,SCM(供应链管理)是一种重要的实现手段
B.在业务数量浩繁且流程错综复杂的大型企业里,主题数据库方法往往形成许多“信息孤岛”,造成大量的无效或低效投资
C.人力资源管理把企业的部分优秀员工看作是一种资本,能够取得投资收益
D.围绕核心业务应用计算机和网络技术是企业信息化建设的有效途径
系统设计是软件开发的重要阶段,(39)主要是按系统需求说明来确定此系统的软件结构,并设计出各个部分的功能和接口。
A.外部设计
B.内部设计
C.程序设计
D.输入/输出设计
快速迭代式的原型开发能够有效控制成本,(40)是指在开发过程中逐步改进和细化原型直至产生出目标系统。
A.可视化原型开发
B.抛弃式原型开发
C.演化式原型开发
D.增量式原型开发
静态分析通过解析程序文本从而识别出程序语句中可能存在的缺陷和异常之处;静态分析所包含的阶段中,(41)的主要工作是找出输入变量和输出变量之间的依赖关系。
A.控制流分析
B.数据使用分析
C.接口分析
D.信息流分析
确认测试主要用于验证软件的功能、性能和其他特性是否与用户需求一致。下述各种测试中,(42)为确认测试。
A.负载测试和压力测试
B.α测试和β测试
C.随机测试和功能测试
D.可靠性测试和性能测试
软件(43)是指改正产生于系统开发阶段而在系统测试阶段尚未发现的错误。
A.完善性维护
B.适应性维护
C.正确性维护
D.预防性维护
(44)描述了一类软件架构的特征,它独立于实际问题,强调软件系统中通用的组织结构选择。垃圾回收机制是Java语言管理内存资源时常用的一种(45)。
(44)A.架构风格
B.开发方法
C.设计模式
D.分析模式
(45)A.架构风格
B.开发方法
C.设计模式
D.分析模式
1995年Kruchten提出了著名的“4+1”视图,用来描述软件系统的架构。在“4+1”视图中,(46)用来描述设计的对象模型和对象之间的关系;(47)描述了软件模块的组织与管理;(48)描述设计的并发和同步特征。
(46)A.逻辑视图
B.用例视图
C.过程视图
D.开发视图
(47)A.逻辑视图
B.用例视图
C.过程视图
D.开发视图
(48)A.逻辑视图
B.用例视图
C.过程视图
D.开发视图
基于架构的软件设计(ABSD)强调由商业、质量和功能需求的组合驱动软件架构设计。ABSD方法有三个基础:功能分解、(49)和软件模板的使用。
A.对需求进行优先级排列
B.根据需求自行设计系统的总体架构
C.选择架构风格实现质量及商业需求
D.开发系统原型用于测试
某公司研发一种语音识别软件系统,需要对用户的语音指令进行音节分割、重音判断、语法分析和语义分析,最终对用户的意图进行推断。针对上述功能需求,该语音识别软件应该采用(50)架构风格最为合适。
A.隐式调用
B.管道-过滤器
C.解释器
D.黑板
某企业内部现有的主要业务功能已经封装为Web服务。为了拓展业务范围,需要将现有的业务功能进行多种组合,形成新的业务功能。针对业务灵活组合这一要求,采用(51)架构风格最为合适。
A.管道-过滤器
B.解释器
C.显式调用
D.黑板
编译器的主要工作过程是将以文本形式输入的代码逐步转化为各种形式,最终生成可执行代码。现代编译器主要关注编译过程和程序的中间表示,围绕程序的各种形态进行转化与处理。针对这种特征,现代编译器应该采用(52)架构风格最为合适。
A.数据共享
B.虚拟机
C.隐式调用
D.管道-过滤器
某软件公司正在设计一个通用的嵌入式数据处理平台,需要支持多种数据处理芯片之间的数据传递与交换。该平台的核心功能之一要求能够屏蔽芯片之间的数据交互,使其耦合松散,并且可以独立改变芯片之间的交互过程。针对上述需求,采用(53)最为合适。
(53)A.抽象工厂模式
B.策略模式
C.中介者模式
D.状态模式
某软件公司正在设计一个图像处理软件,该软件需要支持用户在图像处理过程中的撤销和重做等动作,为了实现该功能,采用(54)最为合适。
A.单例模式
B.命令模式
C.访问者模式
D.适配器模式
某互联网公司正在设计一套网络聊天系统,为了限制用户在使用该系统时发表不恰当言论,需要对聊天内容进行特定敏感词的过滤。针对上述功能需求,采用(55)能够灵活配置敏感词的过滤过程。
A.责任链模式
B.工厂模式
C.组合模式
D.装饰模式
某公司在对一家用车库门嵌入式软件系统进行架构设计时,识别出两个关键的质量属性场景,其中“当车库门正常下降时,如果发现下面有障碍物,则系统停止下降的时间需要控制在0.1秒内”与(56)质量属性相关;“系统需要为部署在远程PC机上的智能家居系统留有控制接口,并支持在智能家居系统中对该系统进行远程错误诊断与调试”与(57)质量属性相关。
(56)A.可用性
B.性能
C.可修改性
D.可测试性
(57)A.可用性
B.性能
C.可修改性
D.可测试性
软件质量属性通常需要采用特定的设计策略实现。例如,(58)设计策略能提高该系统的可用性,(59)设计策略能够提高该系统的性能,(60)设计策略能够提高该系统的安全性。
(58)A.心跳机制
B.数据驱动
C.关注点分离
D.信息隐藏
(59)A.引入中间层
B.事务机制
C.主动冗余
D.优先级队列
(60)A.信息隐藏
B.内置监控器
C.限制访问
D.检查点
架构权衡分析方法(ATAM)是一种常用的软件架构评估方法,下列关于该方法的叙述中,正确的是(61)。
A.ATAM需要对代码的质量进行评估
B.ATAM需要对软件系统需求的正确性进行评价
C.ATAM需要对软件系统进行集成测试
D.ATAM需要对软件质量属性进行优先级排序
识别风险点、非风险点、敏感点和权衡点是软件架构评估过程中的关键步骤。针对某系统所作的架构设计中,“系统需要支持的最大并发用户数量直接影响传输协议和数据格式”描述了系统架构设计中的一个(62);“由于系统的业务逻辑目前尚不清楚,因此现有系统三层架构中的第二层可能会出现功能重复,这会影响系统的可修改性”描述了系统架构设计中的一个(63)。
(62)A.敏感点
B.风险点
C.非风险点
D.权衡点
(63)A.敏感点
B.风险点
C.非风险点
D.权衡点
在网络管理中要防止各种安全威胁。在SNMP v3中,无法预防的安全威胁是(64)。
A.篡改管理信息:通过改变传输中的SNMP报文实施未经授权的管理操作
B.通信分析:第三者分析管理实体之间的通信规律,从而获取管理信息
C.假冒合法用户:未经授权的用户冒充授权用户,企图实施管理操作
D.消息泄露:SNMP引擎之间交换的信息被第三者偷听
下面安全协议中,用来实现安全电子邮件的协议是(65)。
A.IPSec
B.L2TP
C.PGP
D.PPTP
甲公司的某个注册商标是乙画家创作的绘画作品,甲申请该商标注册时未经乙的许可,乙认为其著作权受到侵害。在乙可采取的以下做法中,错误的是(66)。
A.向甲公司所在地人民法院提起著作权侵权诉讼
B.请求商标评审委员会裁定撤销甲的注册商标
C.首先提起诉讼,如对法院判决不服再请求商标评审委员会进行裁定
D.与甲交涉,采取许可方式让甲继续使用该注册商标
利用(67)可以对软件的技术信息、经营信息提供保护。
A.著作权
B.专利权
C.商业秘密权
D.商标权
M公司的程序员在不影响本职工作的情况下,在L公司兼职并根据公司项目开发出一项与M公司业务无关的应用软件。该应用软件的著作权应由(68)享有。
A.M公司
B.L公司
C.L公司与M公司共同
D.L公司与程序员共同
在军事演习中,张司令希望将部队尽快从A地通过公路网(见下图)运送到F地:

图中标出了各路段上的最大运量(单位:千人/小时)。根据该图可以算出,从A地到F地的最大运量是(69)千人/小时。
A.20
B.21
C.22
D.23
某公司需要将4吨贵金属材料分配给下属的甲、乙、丙三个子公司(单位:吨)。据测算,各子公司得到这些材料后所能获得的利润(单位:万元)见下表:

根据此表,只要材料分配适当,该公司最多可以获得利润(70)万元。
A.14
B.16
C.17
D.18
Information systems design is defined as those tasks that focus on the specification of a detailed computer-based solution.Typically,there are four systems design tasks for in-house development.
1)The first task is to specify(71),which defines the technologies to be used by one,more,or all information systems in terms of their data,processes,interfaces,and network components.This task is accomplished by analyzing the data models and process models that are initially created during requirements analysis.
2)The next systems design task is to develop the(72).The purpose of this task is to prepare technical design specifications for a database that will be adaptable to future requirements and expansion.
3)Once the database prototype has been built,the systems designer can work closely with system users to develop input,output and dialogue specifications.The(73)must be specified to ensure that the outputs are not lost,misrouted,misused,or incomplete.
4)The fourth design task involves packaging all the specifications from the previous design tasks into a set of specifications that will guide the(74)activities during the following phases of the systems development methodology.
Finally,we should(75)and update the project plan accordingly.The key deliverable should include a detailed plan for the construction phase that should follow.
(71)A.an application architecture
B.a distributed system
C.a system scope
D.a system physical model
(72)A.database design specifications
B.database organization decisions
C.data structure specifications
D.data distribution decisions
(73)A.format and layout
B.transaction details
C.additional instructions
D.internal controls
(74)A.system administrator’s
B.system analyst’s
C.computer programmer’s
D.system designer’s
(75)A.adjust the project schedule
B.reevaluate project feasibility
C.evaluate vendor proposals
D.select the best vendor proposal
2026上半年真题哪里看?
微信扫码看真题+估分
▼ ▼ ▼
热门:系统集成项目管理工程师备考 | 网络工程师备考 | 软件设计师备考
推荐:系统规划与管理师网络课堂 | 2026年软考报名时间及入口汇总表
活动:资料下载 | 新人礼包 | 2026上半年软考真题估分![]()
课程:系统规划与管理师备考策略 | PMP课程
软考备考资料免费领取
去领取
专注在线职业教育25年