摘要:以下为2014年系统架构设计师考试上午真题,包含综合知识全部75个小题,更多软考真题答案与解析,请进入希赛网在线题库查看。
以下为2014年系统架构设计师考试上午真题,包含综合知识全部75个小题:
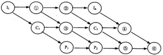
某计算机系统中有一个CPU、一台输入设备和一台输出设备,假设系统中有四个作业T1、T2、T3和T4,系统采用优先级调度,且T1的优先级>T2的优先级>T3的优先级>T4的优先级。每个作业具有三个程序段:输入Ii、计算Ci和输出Pi(i=1,2,3,4),其执行顺序为Ii→Ci→Pi。这四个作业各程序段并发执行的前驱图如下所示。图中①、②、③分别为(1),④、⑤、⑥分别为(2)。

(1)A.I2、C2、C4
B.I2、I3、C2
C.C2、P3、C4
D.C2、P3、P4
(2)A.C2、C4、P4
B.I2、I3、C4
C.I3、P3、P4
D.C4、P3、P4
某文件系统文件存储采用文件索引节点法。假设磁盘索引块和磁盘数据块大小均为1KB,每个文件的索引节点中有8个地址项iaddr[0]~iaddr[7],每个地址项大小为4字节,其中iaddr[0]~iaddr[5]为直接地址索引,iaddr[6]是一级间接地址索引,iaddr[7]是二级间接地址索引。如果要访问icwutil.dll文件的逻辑块号分别为0、260和518,则系统应分别采用(3)。该文件系统可表示的单个文件最大长度是(4)KB。
(3)A.直接地址索引、一级间接地址索引和二级间接地址索引
B.直接地址索引、二级间接地址索引和二级间接地址索引
C.一级间接地址索引、一级间接地址索引和二级间接地址索引
D.一级间接地址索引、二级间接地址索引和二级间接地址索引
(4)A.518
B.1030
C.16514
D.65798
设关系模式R(U,F),其中u为属性集,F是U上的一组函数依赖,那么函数依赖的公理系统(Armstrong公理系统)中的合并规则是指(5)为F所蕴涵。
A.若A→B,B→C,则A→C
B.若Y⊆X⊆U,则X→Y
C.若A→B,A→C,则A→BC
D.若A→B,C⊆B,则A→C
若关系模式R和S分别为:R(A,B,C,D)、S(B,C,E,F),则关系R与S自然联结运算后的属性列有(6)个,与表达方式π1,3,5,6(σ3<6(R
S))等价的SQL语句为:
SELECT(7)FROM R,S WHERE(8);
(6)A.4
B.6
C.7
D.8
(7)A.A,R.C,E,F
B.A,C,S.B,S.E
C.A,C,S.B,S.C
D.R.A,R.C,S.B,S.C
(8)A.R.B=S.B AND R.C=S.C AND R.C<S.B
B.R.B=S.B AND R.C=S.C AND R.C<S.F
C.R.B=S.B OR R.C=S.C OR R.C<S.B
D.R.B=S.B OR R.C=S.C OR R.C<S.F
计算机采用分级存储体系的主要目的是为了(9)。
A.解决主存容量不足的问题
B.提高存储器读写可靠性
C.提高外设访问效率
D.解决存储的容量、价格和速度之间的矛盾
以下嵌入式处理器类型中不具备内存管理单元(MMU)的是(10),嵌入式操作系统(11)可以运行在它上面。
(10)A.PowerPC750
B.ARM920T
C.Cortex-M3
D.MIPS32 24K
(11)A.Linux
B.VxWorks653
C.uC/OS-II
D.Windows CE
以下关于嵌入式数据库管理系统的描述不正确的是(12)。
A.嵌入式数据库管理系统一般只为前端应用提供基本的数据支持
B.嵌入式数据库管理系统一般支持实时数据的管理
C.嵌入式数据库管理系统一般不支持多线程并发操作
D.嵌入式数据库管理系统一般只提供本机服务接口
IETF定义的集成服务(IntServ)把Internet服务分成了三种服务质量不同的类型,这三种服务不包括(13)。
A.保证质量的服务:对带宽、时延、抖动和丢包率提供定量的保证
B.尽力而为的服务:这是一般的Internet服务,不保证服务质量
C.负载受控的服务:提供类似于网络欠载时的服务,定性地提供
D.突发式服务:如果有富余的带宽,网络保证满足服务质量的需求
按照网络分层设计模型,通常把局域网设计为3层,即核心层、汇聚层和接入层,以下关于分层网络功能的描述中,不正确的是(14)。
A.核心层设备负责数据滤、策略路由等功能
B.汇聚层完成路由汇总和协议转换功能
C.接入层应提供一部分管理功能,例如MAC地址认证、计费管理等
D.接入层负责收集用户信息,例如用户IP地址、MAC地址、访问日志等
结构化布线系统分为六个子系统,其中水平子系统(15)。
A.由各种交叉连接设备以及集线器和交换机等设备组成
B.连接了干线子系统和工作区子系统,
C.由终端设备到信息插座的整个区域组成
D.实现各楼层设备间子系统之间的互连
在实际应用中,用户通常依靠评价程序来测试系统的性能。以下评价程序中,(16)的评测准确程度最低。事务处理性能委员会(Transaction Processing Performance Council,TPC)是制定商务应用基准程序(benchmark)标准规范、性能和价格度量,并管理测试结果发布的非营利组织,其发布的TPC-C是(17)的基准程序。
(16)A.核心程序
B.真实程序
C.合成基准程序
D.小型基准程序
(17)A.决策支持
B.在线事务处理
C.企业信息服务
D.联机分析处理
企业信息化一定要建立在企业战略规划基础之上,以企业战略规划为基础建立的企业管理模式是建立(18)的依据。
A.企业战略数据模型
B.企业业务运作模型
C.企业信息系统架构
D.企业决策支持
ERP是对企业物流资源,资金流资源和信息流资源进行全面集成管理的管理信息系统。在ERP五个层次的计划中,(19)根据经营计划的生产目标制定,是对企业经营计划的细化;(20)说明了在一定时期内生产什么,生产多少和什么时候交货,它的编制是ERP的主要工作内容;(21)能够帮助企业尽早发现企业生产能力的瓶颈,为实现企业的生产任务提供能力方面的保障。
(19)A.销售管理计划
B.生产预测计划
C.生产计划大纲
D.主生产计划
(20)A.经营计划
B.车间作业计划
C.物料需求计划
D.主生产计划
(21)A.采购与库存计划
B.能力需求计划
C.物料需求计划
D.质量管理计划
集成平台是支持企业信息集成的支撑环境,包括硬件、软件、软件工具和系统。集成平台的基本功能中,(22)实现不同数据库系统之间的数据交换、互操作、分布数据管理和共享信息模型定义;(23)能够为应用提供数据交换和访问操作,使各种不同的系统能够相互协作。
(22)A.数据通信服务
B.信息集成服务
C.应用集成服务
D.操作集成服务
(23)A.数据通信服务
B.信息集成服务
C.应用集成服务
D.操作集成服务
商业智能是企业对商业数据的搜集、管理和分析的系统过程,主要技术包括(24)。
A.数据仓库、联机分析和数据挖掘
B.数据采集、数据清洗和数据挖掘
C.联机分析、多维度分析和跨维度分析
D.数据仓库、数据挖掘和业务优化重组
系统建议方案中不应该包含的内容是(25)。
A.问题陈述
B.项目范围
C.候选方案及其可行性分析
D.系统详细设计方案
下列关于联合需求计划(Joint Requirement Planning,JRP)的叙述中,不正确的是(26)。
A.在JRP实施之前,应制定详细的议程,并严格遵照议程进行
B.在讨论期间尽量避免使用专业术语
C.JRP是一种相对来说成本较高但十分有效的需求获取方法
D.JRP的主要目的是对需求进行分析和验证
在结构化分析方法中,用(27)表示功能模型,用(28)表示行为模型。
(27)A.ER图
B.用例图
C.DFD
D.对象图
(28)A.通信图
B.顺序图
C.活动图
D.状态转换图
下列关于敏捷方法的叙述中,错误的是(29)。
A.与传统方法相比,敏捷方法比较适合需求变化大或者开发前期对需求不是很清晰的项目
B.敏捷方法尤其适合于开发团队比较庞大的项目
C.敏捷方法的思想是适应性,而不是预设性
D.敏捷方法以原型开发思想为基础,采用迭代式增量开发
下列关于用户界面设计的叙述中,错误的是(30)。
A.界面交互模型应经常进行修改
B.界面的视觉布局应该尽量与真实世界保持一致
C.所有可视信息的组织需要按照统一的设计标准
D.确保用户界面操作和使用的一致性
在软件的使用过程中,用户往往会对软件提出新的功能与性能要求。为了满足这些要求,需要修改或再开发软件。在这种情况下进行的维护活动称为(31)。
A.改正性维护
B.适应性维护
C.完善性维护
D.预防性维护
一组对象以定义良好但是复杂的方式进行通信,产生的相互依赖关系结构混乱且难以理解。采用(32)模式,用一个特定对象来封装一系列的对象交互,从而使各对象不需要显式地相互引用,使其耦合松散,而且可以独立地改变它们之间的交互。
A.解释器(Interpreter)
B.策略(Strategy)
C.中介者(Mediator)
D.迭代器(Iterator)
某广告公司的宣传产品有宣传册、文章、传单等多种形式,宣传产品的出版方式包括纸质方式、CD、DVD、在线发布等。现要求为该广告公司设计一个管理这些宣传产品的应用,采用(33)设计模式较为合适,该模式(34)。
(33)A.Decorator
B.Adapter
C.Bridge
D.Facade
(34)A.将一系列复杂的类包装成一个简单的封闭接口
B.将抽象部分与它的实现部分分离,使它们都可以独立地变化
C.可在不影响其他对象的情况下,以动态、透明的方式给单个对象添加职责
D.将一个接口转换为客户希望的另一个接口
在UML提供的系统视图中,(35)是逻辑视图的一次执行实例,描述了并发与同步结构;(36)是最基本的需求分析模型。
(35)A.进程视图
B.实现视图
C.部署视图
D.用例视图
(36)A.进程视图
B.实现视图
C.部署视图
D.用例视图
在静态测试中,主要是对程序代码进行静态分析。“数据初始化、赋值或引用过程中的异常”属于静态分析中的(37)。
A.控制流分析
B.数据流分析
C.接口分析
D.表达式分析
下列关于软件调试与软件测试的叙述中,正确的是(38)。
A.软件测试的目的是找出存在的错误,软件调试的目的是定位并修正错误
B.软件测试的结束过程不可预计,软件调试使用预先定义的过程
C.软件调试的过程可以实现设计
D.软件测试不能描述过程或持续时间
在单元测试中,(39)。
A.驱动模块用来调用被测模块,自顶向下的单元测试中不需要另外编写驱动模块
B.桩模块用来模拟被测模块所调用的子模块,自顶向下的单元测试中不需要另外编写桩模块
C.驱动模块用来模拟被测模块所调用的子模块,自底向上的单元测试中不需要另外编写驱动模块。
D.桩模块用来调用被测模块,自底向上的单元测试中不需要另外编写桩模块
以下关于软件架构设计重要性的描述,(40)是错误的。
A.软件架构设计能够满足系统的性能、安全性、可维护性等品质
B.软件架构设计能够帮助项目干系入(Stakeholder)更好地理解软件结构
C.软件架构设计能够帮助架构师更好地捕获和细化系统需求
D.软件架构设计能够有效地管理系统的复杂性,并降低系统维护费用
将系统需求模型转换为架构模型是软件系统需求分析阶段的一项重要工作,以下描述中,(41)是在转换过程中需要关注的问题。
A.如何通过多视图模型描述软件系统的架构
B.如何确定架构模型中有哪些元素构成
C.如何采用表格或用例映射保证转换的可追踪性。
D.如何通过模型转换技术,将高层架构模型逐步细化为细粒度架构模型
在构件组装过程中需要检测并解决架构失配问题。其中(42)失配主要包括由于系统对构件基础设施、控制模型和数据模型的假设存在冲突引起的失配。(43)失配包括由手系统对构件交互协议、构件连接时数据格式的假设存在冲突引起的失配。
(42)A.构件
B.模型
C.协议
D.连接子
(43)A.构件
B.模型
C.协议
D.连接子
“4+1”视图主要用于描述系统逻辑架构,最早由Philippe Kruchten于1995年提出。其中(44)视图用于描述对象模型,并说明系统应该为用户提供哪些服务。当采用面向对象的设计方法描述对象模型时,通常使用(45)表达类的内部属性和行为,以及类集合之间的交互关系;采用(46)定义对象的内部行为。
(44)A.逻辑
B.过程
C.开发
D.物理
(45)A.对象图
B.活动图
C.状态图
D.类图
(46)A.对象图
B.活动图
C.状态图
D.类图
特定领域软件架构(Domain Specific Software Architecture,DSSA)是在一个特定应用领域中,为一组应用提供组织结构参考的标准软件体系结构。参加DSSA的人员可以划分为多种角色,其中(47)的任务是控制整个领域分析过程,进行知识获取,将获取的知识组织到领域模型中;(48)的任务是根据领域模型和现有系统开发出DSSA,并对DSSA的准确性和一致性进行验证。
(47)A.领域希赛网
B.领域分析者
C.领域设计者
D.领域实现者
(48)A.领域希赛网
B.领域分析者
C.领域设计者
D.领域实现者
某公司欲开发一个用于分布式登录的服务端程序,使用面向连接的TCP协议并发地处理多客户端登录请求。用户要求该服务端程序运行在Linux、Solaris和WindowsNT等多种操作系统平台之上,而不同的操作系统的相关API函数和数据都有所不同。针对这种情况,公司的架构师决定采用“包装器外观(Wrapper Facade)”架构模式解决操作系统的差异问题。具体来说,服务端程序应该在包装器外观的实例上调用需要的方法,然后将请求和请求的参数发送给(49),调用成功后将结果返回。使用该模式(50)。
(49)A.客户端程序
B.操作系统API函数
C.TCP协议API函数
D.登录连接程序
(50)A.提高了底层代码访问的一致性,但降低了服务端程序的调用性能
B.降低了服务端程序功能调用的灵活性,但提高了服务端程序的调用性能
C.降低了服务端程序的可移植性,但提高了服务端程序的可维护性
D.提高了系统的可复用性,但降低了系统的可配置性
软件架构风格描述某一特定领域中的系统组织方式和惯用模式,反映了领域中众多系统所共有的(51)特征。对于语音识别、知识推理等问题复杂、解空间很大、求解过程不确定的这一类软件系统。通常会采用(52)架构风格。
(51)A.语法和语义
B.结构和语义
C.静态和动态
D.行为和约束
(52)A.管道-过滤器
B.解释器
C.黑板
D.过程控制
在对一个软件系统的架构进行设计与确认之后,需要进行架构复审。架构复审的目的是为了标识潜在的风险,及早发现架构设计中的缺陷和错误。在架构复审过程电,主要由(53)决定架构是否满足需求、质量需求是否在设计中得到体现。
A.系统分析师与架构师
B.用户代表与领域希赛网
C.系统拥有者与项目经理
D.系统开发与测试人员
某公司欲开发一个在线交易系统,在架构设计阶段,公司的架构师识别出3个核心质量属性场景。其中“当系统面临断电故障后,需要在1小时内切换至备份站点并恢复正常运行”主要与(54)质量属性相关,通常可采用(55)架构策略实现该属性;“在并发用户数量为1000人时,用户的交易请求需要在0.5秒内得到响应”主要与(56)质量属性相关,通常可采用(57)架构策略实现该属性;“对系统的消息中间件进行替换时,替换工作需要在5人/月内完成”主要与(58)质量属性相关,通常可采用(59)架构策略实现该属性。
(54)A.性能
B.安全性
C.可用性
D.可修改性
(55)A.操作隔离
B.资源调度
C.心跳
D.内置监控器
(56)A.性能
B.易用性
C.可用性
D.互操作性
(57)A.主动冗余
B.资源调度
C.抽象接口
D.记录/回放
(58)A.可用性
B.安全性
C.可测试性
D.可修改性
(59)A.接口-实现分离
B.记录/回放
C.内置监控器
D.追踪审计
识别风险、非风险、敏感点和权衡点是进行软件架构评估的重要过程。“改变业务数据编码方式会对系统的性能和安全性产生影响”是对(60)的描述,“假设用户请求的频率为每秒1个,业务处理时间小于30毫秒,则将请求响应时间设定为1秒钟是可以接受的”是对(61)的描述。
(60)A.风险点
B.非风险
C.敏感点
D.权衡点
(61)A.风险点
B.非风险
C.敏感点
D.权衡点
体系结构权衡分析方法(Architecture Tradeoff Analysis Method,ATAM)是一种常见的系统架构评估框架,该框架主要关注系统的(62),针对性能、(63)、安全性和可修改性,在系统开发之前进行分析、评价与折中。
(62)A.架构视图
B.架构描述
C.需求说明
D.需求建模
(63)A.可测试性
B.可用性
C.可移植性
D.易用性
以下关于软件著作权产生时间的表述中,正确的是(64)。
A.自软件首次公开发表时
B.自开发者有开发意图时
C.自软件开发完成之日时
D.自获得软件著作权登记证书时
甲公司接受乙公司委托开发了一项应用软件,双方没有订立任何书面合同。在此情况下,(65)享有该软件的著作权。
A.甲公司
B.甲、乙共用
C.乙公司
D.甲、乙均不
软件商标权的保护对象是指(66)。
A.商业软件
B.软件商标
C.软件注册商标
D.已使用的软件商标
下列攻击方式中,(67)不是利用TCP/IP漏洞发起的攻击。
A.SQL注入攻击
B.Land攻击
C.Ping of Death
D.Teardrop攻击
下列安全协议中(68)是应用层安全协议。
A.IPSec
B.L2TP
C.PAP
D.HTTPS
某服装店有甲、乙、丙、丁四个缝制小组。甲组每天能缝制5件上衣或6条裤子;乙组每天能缝制6件上衣或7条裤子;丙组每天能缝制7件上衣或8条裤子;丁组每天能缝制8件上衣或9条裤子。每组每天要么缝制上衣,要么缝制裤子,不能弄混。订单要求上衣和裤子必须配套(每套衣服包括一件上衣和一条裤子)。只要做好合理安排,该服装店15天最多能缝制(69)套衣服。
A.208
B.209
C.210
D.211
生产某种产品有两个建厂方案:
方案一:建大厂,需要初期投资500万元。如果产品销路好,每年可以获利200万元;如果销路不好,每年会亏损20万元。
方案二:建小厂,需要初期投资200万元。如果产品销路好,每年可以获利100万元;如果销路不好,每年只能获利20万元。
市扬调研表明,未来2年这种产品销路好的概率为70%。如果这2年销路好,则后续5年销路好的概率上升为80%;如果这2年销路不好,则后续5年销路好的概率仅为10%。为取得7年最大总收益,决策者应(70)。
A.建大厂,总收益超500万元
B.建大厂,总收益略多于300万元
C.建小厂,总收益超500万元
D.建小厂,总收益略多于300万元
Software architecture reconstruction is an interpretive,jnteractive,and iterative process including many activities.(71)involves analyzing a system's existing design and implementation artifacts to construct a model of it.The result is used in the following activities to construct a view of the system.The database construction activity converts the(72)contained in the view into a standard format for storage in a database.The(73)activity involves defining and manipulating the information stored in database to reconcile,augment,and establish connections between the elements.Reconstruction consists of two primary activities:(74)and(75).The former provides a mechanism for the user to manipulate architectural elements,and the latter provides facilities for architecture reconstruction.
(71)A.Reverse engineering
B.Information extraction
C.Requirements analysis
D.Source code analysis
(72)A.actors and use cases
B.processes and data
C.elements and relations
D.schemas and tables
(73)A.database normalization
B.schema definition
C.database optimization
D.view fusion
(74)A.architecture analysis and design
B.domain analysis and static modeling
C.visualization and interaction
D.user requirements modeling
(75)A.pattern definition and recognition
B.architecture design and implementation
C.system architecture modeling
D.dynamic modeling and reconstruction
2026上半年真题哪里看?
微信扫码看真题+估分
▼ ▼ ▼
热门:系统集成项目管理工程师备考 | 网络工程师备考 | 软件设计师备考
推荐:系统规划与管理师网络课堂 | 2026年软考报名时间及入口汇总表
活动:资料下载 | 新人礼包 | 2026上半年软考真题估分![]()
课程:系统规划与管理师备考策略 | PMP课程
软考备考资料免费领取
去领取
专注在线职业教育25年