摘要:下面是关于2012年下半年软件设计师上午真题第一部分内容>>>点击查看完整版2012年下半年软件设计师上午真题汇总
>>>2017年软件设计师网络课堂课
>>>软件设计师历年真题题库
>>>2017年软件设计师考试指南
下面是关于2012年下半年软件设计师上午真题第一部分内容>>>点击查看完整版2012年下半年软件设计师上午真题汇总
● 在面向对象技术中,对象具有以下特性:__(37)__。
①清晰的边界 ②良好定义的行为 ③确定的位置和数量 ④可扩展性
(37)A.②④
B.①②③④
C.①②④
D.①②
● 在面向对象技术中,__(38)__说明一个对象具有多种形态,__(39)__定义超类与子类之间的关系。
(38)A.继承
B.组合
C.封装
D.多态
(39)A.继承
B.组合
C.封装
D.多态
● 如果要表示待开发软件系统中软件组件和硬件之间的物理关系,通常采用UML中的__(40)__。
(40)A.组件图
B.部署图
C.类图
D.网络图
● 对于场景:一个公司负责多个项目,每个项目(Project)由一个员工(Employee)团队( Team)来开发。下列UML概念图中,__(41)__最适合描述这一场景。

(41)A.图A
B.图B
C.图C
D.图D
● UML中接口可用于__(42)__。
(42)A.提供构造型( stereotype)名称为〈〈terface〉〉的具体类
B.Java和C++程序设计中,而C#程序设计中不支持
C.定义可以在多个类中重用的可执行逻辑
D.声明对象类所需要的服务
● 下列活动图中可以同时执行的活动是__(43)__。

(43)A.a44和a66
B.a22,a33和a44
C.a11和a77
D.a66和a77
● 每种设计模式都有特定的意图。__(44)__模式使得一个对象在其内部状态改变时通过调用另一个类中的方法改变其行为,使这个对象看起来如同修改了它的类。下图是采用该模式的有关TCP连接的结构图实例。该模式的核心思想是引入抽象类__(45)__来表示TCP连接的状态,声明不同操作状态的公共接口,其子类实现与特定状态相关的行为。当一个__(46)__对象收到其它对象的请求时,它根据自身的当前状态做出不同的反应。

(44)A.适配器( Adapter)
B.命令(Command)
C.观察者( Visitor)
D.状态(State)
(45)A.TCPConnection
B.state
C.TCPState
D.TCPEstablished
(46)A.TCPConnection
B.state
C.TCPState
D.TCPEstablished
● 欲使类A的所有使用者都使用A的同一个实例,应__(47)__。
(47)A.将A标识为final
B.将A标识为abstract
C.将单例( Singleton)模式应用于A
D.将备忘( Memento)模式应用于A
● 将高级语言源程序翻译成目标程序的是__(48)__。
(48)A.解释程序
B.编译程序
C.链接程序
D.汇编程序
● 在对程序语言进行翻译的过程中,常采用一些与之等价的中间代码表示形式。常用的中间代码表示不包括__(49)__。
(49)A.树
B.后缀式
C.四元式
D.正则式
● 以下关于程序错误的叙述中,正确的是__(50)__。
(50)A.编译正确的程序必然不包含语法错误
B.编译正确的程序必然不包含语义错误
C.除数为0的错误可以在语义分析阶段检查出来
D.除数为0的错误可以在语法分析阶段检查出来
● 关系R1和R2如下图所示:

若进行
运算,则结果集为__(51)__元关系,共有__(52)__个元组。
(51)A.4
B.5
C.6
D.7
(52)A.4
B.5
C.6
D.7
● 设有关系模式R (E,N,M,L,Q),其函数依赖集为F={ E→N,EM→Q,M→L)。则关系模式R达到了__(53)__;该关系模式__(54)__。
(53)A.1NF
B.2NF
C.3NF
D.BCNF
(54)A.无需进行分解,因为已经达到了3NF
B.无需进行分解,因为已经达到了BCNF
C.尽管不存在部分函数依赖,但还存在传递依赖,所以需要进行分解
D.需要进行分解,因为存在冗余、修改操作的不一致性、插入和删除异常
● 已知关系模式:图书(图书编号,图书类型,图书名称,作者,出版社,出版日期,ISBN),图书编号识别一本图书。建立“计算机”类图书的视图Computer-BOOK,并要求进行修改、插入操作时保证该视图只有计算机类的图书。实现上述要求的SQL语句如下:
CREATE __(55)__
AS SELECT图书编号,图书名称,作者,出版社,出版日期
FROM图书
WHERE图书类型='计算机'
__(56)__;
(55)A.TABLE Computer-BOOK
B.VIEWComputer-BOOK
C.Computer-BOOK TABLE
D.Computer-BOOKVIEW
(56)A.FOR ALL
B.PUBLIC
C.WITH CHECK OPTION
D.WITH GRANT OPTION
● 在字符串的模式匹配过程中,如果模式串的每个字符依次和主事中一个连续的字符序列相等,则称为匹配成功。如果不能在主串中找到与模式串相同的子串,则称为匹配失败。在布鲁特—福斯模式匹配算法(朴素的或基本的模式匹配)中,若主串和模式串的长度分别为n和m(且n远大于m),且恰好在主串末尾的m个字符处匹配成功,则在上述的模式匹配过程中,字符的比较次数最多为__(57)__。
(57)A.n*m
B.(n-m+1)*m
C.(n-m-1)*m
D.(n-m)*n
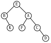
● 若某二叉树的后序遍历序列为KBFDCAE,中序遍历序列为BKEFACD,则该二叉树为__(58)__。
(58)A.
B.
C.
D.
● 在13个元素构成的有序表M[1..13]中进行折半查找(向下取整),若找到的元素为M[4],则被比较的元素依次为__(59)__。
(59)A.M[7]、 M[3]、M[5]、M[4]
B.M[7]、M[5]、M[4]
C.M[7]、M[6]、M[4]
D.M[7]、M[4]
● 拓扑排序是将有向图中所有顶点排成一个线性序列的过程,并且该序列满足:若在AOV网中从顶点Vi到Vj有一条路径,则顶点Vì必然在顶点Vj之前。对于下面所示的有向图,__(60)__是其拓扑序列。

(60)A.1234576
B.1235467
C.2135476
D.2134567
● 下图所示为一棵M阶B-树,M最有可能的值为__(61)__。

(61)A.1
B.2
C.3
D.4
● 将数组{1,1,2,4,7,5}从小到大排序,若采用__(62)__排序算法,则元素之间需要进行的比较次数最少,共需要进行__(63)__次元素之间的比较。
(62)A.直接插入
B.归并
C.堆
D.快速
(63)A.5
B.6
C.7
D.8
● 霍夫曼编码将频繁出现的字符采用短编码,出现频率较低的字符采用长编码。具体的操作过程为:i)以每个字符的出现频率作为关键字构建最小优先级队列;ii)取出关键字最小的两个结点生成子树,根节点的关键字为孩子节点关键字之和,并将根节点插入到最小优先级队列中,直至得到一颗最优编码树。
霍夫曼编码方案是基于__(64)__策略的。用该方案对包含a到f六个字符的文件进行编码,文件包含100000个字符,每个字符的出现频率(用百分比表示)如下表所示,则与固定长度编码相比,该编码方案节省了__(65)__存储空间。

(64)A.分治
B.贪心
C.动态规划
D.回溯
(65)A.21%
B.27%
C.18%
D.36%
● 在Windows 2003 Server中启用配置SNMP服务时,必须以__(66)__身份登录才能完成SNMP服务的配置功能。
(66)A.guest
B.普通用户
C.administrator组成员
D.user组成员
● 在ASP的内置对象中,__(67)__对象可以修改cookie中的值。
(67)A.request
B.response
C.application
D.session
● 分配给某公司网络的地址块是220.17.192.0/20,该网络被划分为__(68)__个C类子网,不属于该公司网络的子网地址是__(69)__。
(68)A.4
B.8
C.16
D.32
(69)A.220.17.203.0
B.220.17.205.0
C.220.17.207.0
D.220.17.213.0
● 如果DNS服务器更新了某域名的IP地址,造成客户端域名解析故障,在客户端可以用两种方法解决此问题,其中一种是在Windows命令行下执行__(70)__命令。
(70)A.ipconfig/all
B.ipconfig/renew
C.ipconfig/flushdns
D.ipconfig/release
● Computers will become more advanced and they will also become easier to use.Improved speed recognition will make the operation of a computer easier.Mrtual reality(虚拟现实),the technology of__(71)__with a computer using all of the human senses, will also contribute to better human and computer__(72)__.Other, exotic(奇异的)models of computation are being developed, including biological computing that uses living organisms, molecular computing that uses molecules with particular __(73)__,and computing that uses DNA, the basic unit of heredity(遗传)to store data and carry out operations. These are examples of possible future computational platforms that, so far, are limited in abilities or are strictly__(74)__.Scientists investigate them because of the physical limitations of miniaturizing circuits embedded in silicon.There are also__(75)__related to heat generated by even the tiniest of transistors.
(71)A.interact
B.interacting
C.communicate
D.using
(72)A.interfaces
B.behavior
C.similarities
D.comparison
(73)A.software
B.properties
C.programs
D.hardware
(74)A.empirical
B.real
C.practical
D.theoretical
(75)A.developments
B.advantages
C.limitations
软考备考资料免费领取
去领取
专注在线职业教育25年