摘要:本书由希赛网软考学院组编,作为计算机技术与软件专业技术资格(水平)考试中的信息系统项目管理师级别的考试辅导指定教材。内容紧扣考试大纲,通过对历年试题进行科学分析、研究、总结、提炼而成。每章内容分为知识点突破、典型试题分析、实战练习、练习题解析四个部分。本节为项目时间管理:典型试题分析。
10.2 典型试题分析
本节对一些典型的试题进行分析和解答,以便考生更好地掌握相关知识点。
试题1
关于活动资源估算正确的叙述是__(1)__.
(1)
A.进行活动排序时需要考虑活动资源估算问题
B.活动资源估算过程与费用估算过程无关
C.活动资源估算的目的是确定实施项目活动所需的资源数量
D.企业基础设施资源信息可以用于活动资源估算
试题1分析
活动资源估算包括决定需要什么资源(人力,设备,原料)和每一样资源应该用多少,以及何时使用资源来有效地执行项目活动。它必须和成本估算相结合。
活动排序在活动资源估算过程之前,进行活动排序时需要考虑活动之间顺序问题而不是资源估算问题。
依靠组织的过程资产以及估算软件等企业基础设施的强大能力,可以定义资源可用性、费率以及不同的资源日历,从而有助于活动资源的估算。
试题1答案
(1)D
试题2
某项目的时标网络图如图10-2所示(时间单位:周),在项目实施过程中,因负责实施的工程师误操作发生了质量事故,需整顿返工,造成工作4-6拖后3周,受此影响,工程的总工期会拖延__(2)__周。

图10-2 某项目的时标网络图
(2)A.0 B.1 C.2 D.3
试题2分析
时标网络图结合了甘特图和网络计划图的优点,用带有时标的网状图表示各子任务的进度情况,以反映各子任务在进度上的依赖关系。在时标网络图中,用弹簧线表示时差。因此,如果某条路径没有"弹簧",则说明这条路径就是关键路径。
在本题中,关键路径长度为22周,工作4-6不在关键路径上,它的紧后工作为6-9,工作6-9的时差为2周。在项目实施过程中,工作4-6拖后3周后,此时,它用掉工作6-9的2周的时差,还引起整个项目工期1周的延期,此时关键路径长度变为23周。
试题2答案
(2)B
试题3
关于活动历时估算的说法不正确的是__(3)__.
(3)
A.活动历时估算不是进行活动排序时首要考虑的问题
B.活动历时估算的准确性不依赖于项目团队成员对项目的熟悉程度
C.活动历时估算内容包括确定实施项目活动必须付出的工作努力、所需的资源数量、工作时间
D.活动历时估算可采用三点估算法
试题3分析
活动历时估算过程要对项目的上作时间做出客观、合理的估计,要在综合考虑各种资源、人力、物力、财力的情况下,确定实施项目活动必须付出的工作努力、所需的资源数量、工作时间。在对活动进行时间估计时,可以选择项目队伍中最熟悉具体活动性质的个人或团体来完成估计。
活动排序过程依据活动清单、活动清单属性、项目范围说明书和里程碑清单,首先确定项目各活动之间的顺序。活动历时估算过程在活动排序过程之后进行。
活动历时估算的工具、技术和方法有希赛网判断、类比估算法、参数估算法、历时的三点估算、预留时间、最大活动历时等。
试题3答案
(3)B
试题4
__(4)__能最准确地计算活动的历时(AD)。
(4)
A.AD=工作量/人员生产率
B.AD=工作量/人力资源数量
C.AD=(最乐观时间+4×最可能时间+最悲观时间)/6
D.AD=人员生产率×项目规模
试题4分析
在已估算出完成活动所需的工作量(例如30人天)、已有的人力资源数量(如5人)后,就可以根据下列公式估算出该活动的历时:
AD=工作量/人力资源数量=30人天/5人=6天
试题4答案
(4)B
试题5
监理工程师可以采用多种技术手段实施信息系统工程的进度控制。下面__(5)__不属于进度控制的技术手段。
(5)
A.图表控制法 B.网络图计划法
C.ABC分析法 D."香蕉"曲线图法
试题5分析
进度控制的基本思路是比较实际进度和计划进度之间的差异,如需要就做出必要的调整使项目按计划进度实施,其目的是确保项目"时间目标"的实现。
进度控制的技术手段有:
ü图表控制法,包括甘特图和工程进度曲线。
ü网络控制计划法,包括双代号网络图和单代号网络图。
üS曲线和香蕉曲线图法。
香蕉曲线图法是工程项目施工进度控制的方法之一,香蕉曲线是由两条以同一开始时间、同一结束时间的S型曲线组合而成。其中,一条S型曲线是工作按最早开始时间安排进度所绘制的S型曲线,简称ES曲线;而另一条S型曲线是工作按最迟开始时间安排进度所绘制的S型曲线,简称LS曲线。除了项目的开始和结束点外,ES曲线在LS曲线的上方,同一时刻两条曲线所对应完成的工作量是不同的。在项目实施过程中,理想的状况是任一时刻的实际进度在这两条曲线所包区域内。
ABC分析法就是帕累托(Pareto)分析法,是找到主要矛盾的方法。ABC分析法源自于Pareto定律或称80/20原理,即占人口比例很少的一部分人(只占总人口的不到20%),却占了社会财富的大部分(占有社会总财富的80%左右)。80/20原理简单的说法就是:重要的少数,不重要的多数,就是社会及自然现象中,往往是"重要的少数方"是影响整个项目成败的主要因素。
ABC分析法的基本原理,可概括为"区别主次,分类管理".它将管理对象分为A、B、C类,以A类作为重点管理对象。其关键在于区别一般的多数和极其重要的少数。
试题5答案
(5)C
试题6
以下不具有"完成-开始"关系的两个活动是__(6)__.
(6)
A.系统设计,设计评审 B.系统分析,需求评审
C.需求评审,周例会 D.确定项目范围,制定WBS
试题6分析
活动之间的依赖关系通常有以下4种:
ü完成对开始(FS):后一活动的开始要等到前一活动的完成。
ü完成对完成(FF):后一活动的完成要等到前一活动的完成。
ü开始对开始(SS):后一活动的开始要等到前一活动的开始。
ü开始对完成(SF):后一活动的完成要等到前一活动的开始。
以上4种关系的表示如图10-3所示。

图10-3 活动依赖关系图
两个活动之间的"完成-开始"关系是指前序活动结束后,后序活动才能开始。因周例会是一个周期性的管理活动,它与需求评审没能固定的"完成-开始"关系。本题的其他三项选择中的活动都有"完成一开始"关系。
值得注意的是,甲乙双方首先在项目的交付物层面上达成一致,才能确定项目范围。然后再对完成项目交付物的工作进一步分解,才能制定项目的WBS.
试题6答案
(6)C
试题7
某项目的主要约束是质量,为了不让该项目的项目团队感觉时间过于紧张,项目经理在估算项目活动历时的时候应采用__(7)__,以避免进度风险。
(7)A.希赛网判断 B.定量历时估算 C.设置备用时间 D.类比估算
试题7分析
项目经理在组织项目活动历时估算时,可以在总的项目进度表中以"预留时间"、"应急时间"、"备用时间"或"缓冲时间"为名称增加一些时间,用这种做法来避免进度风险。备用时间的长短可由活动持续时间估算值的某一百分比来确定,或某一固定长短的时间,或根据定量风险分析的结果确定。备用时间可能全部用完,也可能只使用一部分,还可能随着项目更准确的信息增加和积累而到后来减少或取消。这样的备用时间应当连同其他有关的数据和假设一起形成文件。
试题7答案
(7)C
试题8
关键路径法是多种项目进度分析方法的基础。__(8)__将关键路径法分析的结果应用到项目日程表中;__(9)__是关键路径法的延伸,为项目实施过程中引入活动持续期的变化。
(8)A.PERT网络分析 B.甘特图 C.优先日程图法 D.启发式分析法
(9)A.PERT网络分析 B.甘特图 C.优先日程图法 D.启发式分析法
试题8分析
关键路径法(Critical Path Method,CPM)用于确定项目进度网络中各种逻辑网络路线上进度安排灵活性的大小(时差大小),进而确定项目总持续时间最短的一种网络分析技术。使用该法沿着项目进度网络图进行正向与反向分析,从而计算出所有计划活动理论上的最早开始与完成日期、最迟开始与完成日期,也能找到项目的关键路线,不考虑任何资源限制。
甘特图(GanttChart)也叫横道图或条形图(BarChart),它以横线来表示每项活动的起止时间,是一种能有效显示活动时间计划编制的方法,主要用于项目计划和项目进度安排。
对第(8)空而言,只有甘特图是表示项目进度计划的详细形式,只有甘特图能够反映项目日程表。
在PERT(计划评审技术)网络计划中,某些活动或全部工序的持续时间实现不能准确确定,适用于不可预知因素较多的,过去未曾做过的新项目或复杂项目,或研制新产品的工作中。PERT技术的理论基础是假设项目持续时间以及整个项目完成时间是随机的,且服从某种概率分布。PERT可以估计整个项目在某个时间内完成的概率。
试题8答案
(8)B(9)A
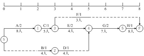
试题9
某工程包括A、B、C、D、E、F、G、H八个作业,各个作业的紧前作业、所需时间和所需人数如表10-3所示(假设每个人均能承担各个作业)。
表10-3 某工程基本情况

该工程的工期应为__(10)__周。按此工期,整个工程至少需要__(11)__人。
(10)A.8 B.9 C.10 D.11
(11)A.8 B.9 C.10 D.11
试题9分析
根据表10-3,画出该工程的时标网络图如图10-4所示。

图10-4 某工程的时标网络图
从图10-4中可以直观地看出,关键路径为ACEGH,工程工期为2+1+2+2+1=8.
根据时标网络图可以清晰体现某一时间段哪些活动必须同时进行,哪些活动或路径上存在可利用的机动时间,即自由时差或总时差。对图10-4进行分析,调整活动B、D、F的执行时间,使同一时间段内使用的资源最少,调整结果如图10-5所示。

图10-5 调整后的时标网络图
由图10-5可知,第3周时活动B、C并行,共需要9人,其余时间段所需人数均少于9人。
试题9答案
(10)A(11)B
试题10
图10-6为某工程进度网络图,结点1为起点,结点11为终点,那么关键路径为__(12)__,此工程最快__(13)__天完成。

图10-6 某工程网络图
(12)
A.1-3-5-8-9-10-11 B.1-2-4-7-11
C.1-3-5-7-11 D.1-2-5-8-10-11
(13)A.18 B.28 C.22 D.20
试题10分析
此工程进度网络图是一个AOE网,在AOE网中,用顶点表示事件,用有向边表示活动,边上的权值表示活动的开销(如该活动持续的时间)。完成整个工程所必须花费的时间应该为源点(顶点1)到终点(顶点11)的最大路径长度。具有最大路径长度的路径称为关键路径。
在确定关键路径时,要求出4个参量数组:
(1)事件的最早发生时间ve[k].ve[k]是指从源点到顶点k的最大路径长度代表的时间。这个时间决定了所有从顶点k发出的有向边所代表的活动能够开工的最早时间。
(2)事件的最迟发生时间vl[k].vl[k]是指在不推迟整个工期的前提下,事件vk允许的最晚发生时间。
(3)活动的最早开始时问e[i].若活动ai是由弧<vk,vj>表示,那么ai的最早开始时间等于时间vk的最早发生时问。
(4)活动的最晚开始时间l[i].若活动ai是由弧<vk,vj>表示,则ai的最晚开始时间要保证事件vi的最迟发生时间不拖后,因此有l[i]=vl[j]-dut(<vk,vj>),dut(<vk,vj>)为弧<vk,vj>的权值·按照这样的过程求解4个参量数组,最后比较活动ai的最早开始时间和最晚开始时间,两者相同的即为关键活动,关键活动所在的路径就是关键路径。
本题中网络网的关键路径为1-3-5-8-9-10-11,最大路径长度为28.
试题10答案
(12)A(13)B
试题11
项目经理小丁负责一个大型项目的管理工作,目前因人手紧张只有15个可用的工程师,因为其他工程师已经被别的项目占用。这15个工程师可用时间不足所需时间的一半,并且小丁也不能说服管理层改变这个大型项目的结束日期。在这种情况下,小丁应该__(14)__.
(14)
A.与团队成员协调必要的加班,以便完成工作
B.告诉团队成员他们正在从事一项很有意义的工作,以激发他们的积极性
C.征得管理层同意,适当削减工作范围,优先完成项目主要工作
D.使用更有经验的资源,以更快地完成工作
试题11分析
小丁不能说服管理层改变这个大型项目的结束日期,而这15个工程师可用时间不足所需时间的一半。项目人手紧张,不能抽调有经验的资源。可用时间和所需时间相差太多,因此不能简单地通过加班和激发积极性来完成,必须征得管理层同意,适当削减工作范围,优先完成项目主要工作。
试题11答案
(14)C
试题12
完成某信息系统集成项目中的一个最基本的工作单元A所需的时间,乐观的估计需8天,悲观的估计需38天,最可能的估计需20天,按照PERT方法进行估算,项目的工期应该为__(15)__,在26天以后完成的概率应是__(16)__.
(15)A.20 B.21 C.22 D.23
(16)A.8.9% B.15.9% C.22.2% D.28.6%
试题12分析
在PERT图中,用箭号表示事件,即要完成的任务。箭头旁给出子任务的名称和完成该子任务所需要的时间。用圆圈节点表示事件的起点和终点。PERT对各个项目活动的完成时间按三种不同情况估计:
ü乐观时间(optimistictime):任何事情都顺利的情况下,完成某项工作的时间。
ü最可能时间(mostlikelytime):正常情况下,完成某项工作的时间。
ü悲观时间(pessimistictime):最不利的情况下,完成某项工作的时间。
假定三个估计服从β分布,由此可算出每个活动的期望ti:

其中ai表示第i项活动的乐观时间,mi表示第i项活动的最可能时间,bi表示第i项活动的悲观时间。根据β分布的方差计算方法,第i项活动的持续时间方差为:

标准差为方差的开平方。根据正态分布规律,在±σ范围内,项目完成的概率大约为68.26%;在±2σ范围内,项目完成的概率大约为95.43%;在±3σ范围内,项目完成的概率大约为99.73%.
在本题中,期望工期=(8+4×20+38)/6=21,标准差=(38-8)/6=5.因此,16天到26天完成的概率是68.26%,26天以后和26天以前完成的概率为1-68.26%=31.74%,所以,26天以后完成的概率为31.74%/2=15.87%.
试题12答案
(15)B(16)B
试题13
某市数字城市项目主要包括A、B、C、D、E五项任务,且五项任务可同时开展。各项任务的预计建设时间以及人力投入如表10-4所示。
表10-4 各项任务的预计建设时间以及人力投入

以下安排中,__(17)__能较好地实现资源平衡,确保资源的有效利用。
(17)
A.五项任务同时开工
B.待B任务完工后,再依次开展A、C、D、E四项任务
C.同时开展A、B、D三项任务,待A任务完工后开展C任务、D任务完工后开展E任务
D.同时开展A、B、D三项任务,待A任务完工后开展E任务、D任务完工后开展C任务
试题13分析
由于五项任务可以同时开展,从预计投入的人数来看,任务A和C都是25人,任务D和E都是31人,且任务A和C的建设时间之和为120天,任务D和E的建设时间之和也是120天。因此,首先同时开展A、B、D三项任务,待A任务完工后开展C任务、D任务完工后开展E任务,这样,就可以用112人在120天内完成所有任务。
试题13答案
(17)C
试题14
在软件开发项目中,关键路径是项目事件网络中__(18)__,组成关键路径的活动称为关键活动,只有关键活动完成后项目才能结束。图10-7中的关键路径历时__(19)__个时间单位。

图10-7 某工程网络图
(18)
A.最长的回路 B.最短的回路
C.源点和汇点间的最长路径 D.源点和汇点间的最短路径
(19)A.14 B.18 C.23 D.25
试题14分析
因网络图中的某些活动可以并行地进行,所以完成工程的最少时间是从开始节点到结束节点的最长路径长度,称从开始节点到结束节点的最长路径为关健路径(临界路径),关键路径上的活动为关键活动。
试题14答案
(18)C(19)C
试题15
T和H分别作为系统需求分析师和软件设计工程师,参与①、②、③、④四个软件的开发工作。T的工作必须发生在H开始工作之前,每个软件开发工作的需要工时如表10-5所示。
表10-5 每个软件开发工作的需要工时

在最短的软件开发工序中,单独压缩__(20)__对进一步加快进度没有帮助。
(20)
A.①的需求分析时间 B.①的软件设计时间
C.③的需求分析时间 D.③的软件设计时间
试题15分析
根据表10-5提供的信息,绘制甘特图如图10-8所示。

图10-8 项目甘特图
按照当前的线性顺序进行安排,完成4个软件的开发工作,需要26天。要压缩开发时间,试题要求是"单独压缩",下面分别考虑:
ü压缩①的需求分析时间是可行的,因为此时H资源闲置,所以①的需求分析时间可以压缩到最短,这样就可以节约更多的时间。
ü压缩①的软件设计时间是可行的,当前,①的软件设计时间为8天,根据图10-8,可以压缩到3天(压缩5天),即从第11天就开始②的软件设计,因为此时②的需求分析已经完成。
ü压缩③的需求分析时间不可行,因为当前③的需求分析结束时间为15天,而①的软件设计结束时间也是15天,虽然③的需求分析时间提前,但②的软件设计还没有开始,对总进度没有帮助。
ü压缩③的软件设计时间是可行的,当前,③的软件设计时间为6天,根据图10-8,可以压缩到2天(压缩4天),即从第21天就开始④的软件设计,因为此时③的需求分析已经完成。这样,可以使总进度提前4天。
试题15答案
(20)C
试题16
某车间需要用一台车床和一台铣床加工A、B、C、D四个零件。每个零件都需要先用车床加工,再用铣床加工。车床与铣床加工每个零件所需的工时(包括加工前的准备时间以及加工后的处理时间)如表10-6所示。
表10-6 零件加工时间表

若以A、B、C、D零件顺序安排加工,则共需32小时。适当调整零件加工顺序,可使所需总工时最短。在这种最短总工时方案中,零件A在车床上的加工顺序安排在第__(21)__位,四个零件加工共需__(22)__小时。
(21)A.1 B.2 C.3 D.4
(22)A.21 B.22 C.23 D.24
试题16分析
对于指定的加工顺序,如何描述其加工所需时间呢?这是解答本题所首先要解决的问题。以顺序安排加工A、B、C、D这四个零件为例,我们可以用甘特图将工作进度描述如图10-9所示。

图10-9 调整前的甘特图
其中横轴表示时间,从零件A在车床上加工开始作为坐标0,并以小时为单位。纵轴表示车床和铣床。车床和铣床加工某零件的进度情况以横道表示。
为了缩短总工时,应适当调整加工顺序,以缩短铣床最后的加工时间(车床完工后需要用铣床的时间),并多端车床最先的加工时间(铣床启动前需要等待的时间)。所以,应采取如下原则来安排零件的加工顺序。
在给定的工时表中找出最小值,如果它是铣床时间,则该零件应最后加工;如果它是车床时间,则该零件应最先加工。除去该零件后,又可以按此原则继续进行安排。这样,本题中,最小工时为1小时,这是零件B所用的铣床加工时间。所以,零件B应放在最后加工。除去零件B后,最小工时为2小时,这是零件C所需的车床加工时间。所以,零件C应最先加工。再除去C以后,工时表中最小的时间为3小时,是零件A所需的铣床加工时间。因此,零件A应该安排在零件D以后加工。
这样,最优方案应是按照C、D、A、B零件的顺序来加工。其甘特图如图10-10所示。

图10-10 调整后的甘特图
试题16答案
(21)C(22)B
软考备考资料免费领取
去领取
专注在线职业教育25年