摘要:2018年执业西药师《药学专业知识一》考试已结束,希赛网将为考生及时整理2018年执业西药师考试《药学专业知识一》真题及答案,敬请关注。

三、综合分析选择题
101.关于苯妥英钠药效学、药动学特征的说法,正确的是( )。
A.随着给药剂量增加,药物消除可能会明显减慢,会引起血药浓度明显增加
B.苯妥英钠在临床上不属于治疗窗窄的药物,无需监测其血药浓度
C.苯妥英钠的安全浓度范围较大,使用时较为安全
D.制定苯妥英钠给药方案时,只需要根据半衰期制定给药间隔
E.可以根据小剂量时的动力学参数预测高剂量的血药浓度
答案:A
解析:根据材料可得苯妥英钠增加剂量可使血药浓度显著升高,所以A正确
102.关于静脉注射苯妥英钠的血药浓度-时间曲线的说法,正确的是( )。
A.低浓度下,表现为线性药物动力学特征:剂量增加,消除半衰期延长
B.低浓度下,表现为非线性药物动力学特征:不同剂量的血药浓度时间曲线
C.高浓度下,表现为非线性药物动力学特征:AUC与剂量不成正比
D.高浓度下,表现为线性药物动力学特征。剂量增加,半衰期不变
E.高浓度下,表现为非线性药物动力学特征:血药浓度与剂量成正比
答案:C
解析:根据材料,高浓度时,按零级动力学消除,所以为非线性动力学特征,AUC与剂量不成正比
103.关于苯妥英钠在较大浓度范围的消除速率的说法,正确的是( )。
A.用米氏方程表示,消除快慢只与参数Vm有关
B.用米氏方程表示,消除快慢与参数Km和Vm有关
C.用米氏方程表示,消除快慢只与参数Km有关
D.用零级动力学方程表示,消除快慢表现在消除速率常数Ko上
E.用一级动力学方程表示,消除快慢体现在消除速率常数k上
答案:B
解析:米氏方程中消除快慢与Km和Vm都有关
104.已知苯妥英钠在肝肾功能正常病人中的K_=-12μg/ml.V_=10mg/kg-d),当每天给药剂量为3 mg/(kgd).则稳态血药浓度C.-5.lpg/ml:当每天给药剂量为6mg/(kgd).则稳态血药浓度C.-18μg/ml.已知C.”.若希望达到稳态血药浓度12pg/ml,则病人的给药剂量是( )。
A.3.5mg/(kgd)
B.40mg/(kg-d)
C.4.35mg/(kgd)
D.5.0mg/(kgd)
E.5.6mg/(kgd)
答案:D
解析:直接把题目已知的条件带入题目所给的公式即可
【105-107】
患者,女,78岁,因患高血压病长期口服硝苯地平控释片(规格为30mg),每日1次,每次1片,血压控制良好。近两日因气温程降,感觉血压明显升高,于18时自查血压达170/10mmHg,决定加服1片药,担心起效慢,将其碾碎后吞服,于19时再次自测血压降至110/70mmHg后续又出现头晕、恶心、心悸、胸间,随后就医。
105.关于导致患者出现血压明显下降及心悸等症状的原因的说法,正确的是( )。
A.药品质量缺陷所致
B.由于控释片破碎使较大量的硝苯地平实释
C.部分缓解片破碎使硝苯地平剂量损失,血药浓度未达有效范围
D.药品正常使用情况下发生的不良反应
E.患者未在时辰药理学范畴正确使用药物
答案:B
解析:控释片碾碎服用后,使得结构被破坏,硝苯地平剂量大量释放出来,导致硝苯地平血药浓度升高,药效增强
106.关于口服缓释、控释制剂的临床应用与注意事项的说法,错误的是( )。
A.控释制剂的药物释放速度恒定,偶尔过量服用不会影响血药浓度
B.缓释制剂用药次数过多或增加给药剂量可导致血药浓度增高
C.部分缓释制剂的药物释放速度由制剂表面的包衣膜决定
D.控释制剂的服药间隔时间通常为12小时或24小时
E.缓释制剂用药次数不够会导致药物的血药浓度过低,达不到应有的疗效
答案:A
解析:服用过量,肯定会导致血药浓度升高
107.硝苯地平控释片的包衣材料是( )。
A.卡波姆
B.聚维酮
C.酷酸纤维素
D.经丙甲纤维素
E.醋酸纤维索酞酸酷
答案:C
解析:醋酸纤维素可作为包衣材料
【108-110】
紫杉醇(TaXol)是从美国西海岸的短叶红豆杉的树支中提取得到的具有紫衫烯环结构的二萜类化合物,属有丝分裂抑制剂或纺锤体毒索。
多西他赛(Docetaxel)是由10去乙酰基浆果赤霉素进行半合成得到的紫衫烷类抗肿瘤药物,结构上与紫衫醉有两点不同,一是第10位碳上的取代基,二是3位上的侧链。多西他赛的水溶性比紫杉醇好,毒性较小,抗肿瘤谱更广。
108.按药物来源分类,多西他赛属于( )。
A.天然药物
B.半合成天然药物
C.合成药物
D.生物药物
E.半合成抗生素
答案:B
解析:根据材料,多西他赛属于半合成天然药物
109.紫杉醇注射液中通常含有聚氧乙烯蓖麻油,其作用是( )。
A.助悬剂
B.稳定剂
C.等渗调节剂
D.增溶剂
E.金属整合剂
答案:D
解析:服用过量,肯定会导致血药浓度升高
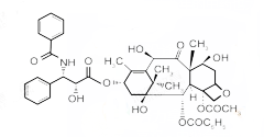
110.根据结构关系判断,属于多西他赛结构的是()
A.

B.

C.

D.

E.

答案:E
解析:根据材料给的信息结构式,可以推出多西他赛结构为E选项
111.下列药物在体内发生生物转化反应,属于第1相反应的有( )。
A.苯胺英纳代谢生成羟基苯妥英
B.对氨基水杨酸在乙酰辅酶
C.卡马西平代谢生成卡马西平
D.地西半羟脱甲基和羟基化生成奥沙西洋
E.硫喷妥钠经氧化脱硫生成戊巴比妥
答案:ACDE
解析:B选择为第II相反应,其余都是第I相反应
112.依据检验目的不同,药品检验可分为不同的类别。关于药品检验的说法中正确的有( )。
A.委托检验系药品生产企业委托具有相应监测能力并通过资质认定或认可的检验机构对本企业无法完成的检验项目进行检验
B.抽查检验系依法对生产、经营和使用的药品按照药品标准进行抽查检验
C.出厂检验系药品检验机构对药品生产企业要放行出厂的产品进行的质量检验
D.符合检验系对抽验结果有异议时,由药品检验仲裁机构对有异议的药品进行再次抽检
E.进口药品检验系对于未获得《进口药品注册证》或批件的进口药品进行的检验
答案:ABD
解析:出厂检验系药品生产企业对放行出厂的产品按企业药品标准进行的质量检验过程
进口药品检验是对于已经获得《进口药品注册证》或批件的进口药品进行的检验
113.患儿,男,2周岁,因普通感管引起高热,哭闹不止,医师处方给子步洛芬口服混悬剂。相比固体剂型,在此病例中选用的布洛芬口服混悬剂的优势在于( )。
A.小儿服用混悬剂更方便
B.含量高、易于稀释、过量使用也不会造成严重的毒副作用
C.混悬剂因颗粒分布均匀,对胃肠道刺激小
D.适宜于分剂量给药
E.含有山梨雨,味甜,顺应性高
答案:ACDE
解析:过量使用肯定会有严重的不良反应,B选项过于绝对,其他选项正确
114.盐酸异丙肾上腺素气雾剂处方如下
盐酸异丙肾上腺素 25g
维生素C 1.0g
乙醇 296.5g
二氧二氖甲烷 适量
共制成 1000g
于该处方中各辅料所起作用的说法,正确的有( )。
A.乙醇是乳化剂
B.维生素C是抗氧剂
C.二氧二氖甲烷是抛射剂
D.乙醇是潜溶剂
E.二氧二氟年烷是金属离子络合剂
答案:BCD
解析:维生素C为抗氧剂,乙醇为潜溶剂,二氯二氟甲烷为抛射剂
115.与碳酸钙、氧化镁等制剂同服可形成络合物,影响其吸收的药物有( )。
A.卡那霉素
B.左氧氟沙星
C.红霉素
D.美他环素
E.多西环素
答案:BDE
解析:四环素类和喹诺酮类抗菌药物都容易与钙剂,镁剂等金属离子螯合成络合物
116.可作为咀嚼片的填充剂和粘合剂的辅料有( )。
A.丙烯酸树脂
B.甘落醇
C.蔗糖
D.山梨醇
E.乳糖
116、BCE
答案:甘露醇,蔗糖,乳糖可作为黏合剂
117.由于影响药物代谢而产生的药物相工作用有( )。
A.举巴比安使华法林的抗凝血作用减弱
B.异烟肤与卡马西平合用,肝毒性加重
C.保奉松使华法林的抗凝在作用增强
D.诺氟沙星与硫酸亚铁同时服用,抗菌作用减弱
E.酮康挫与特非那定合用导致心律失常
答案:ABC
118.同种药物的A、B两种制剂,口服相同剂量,具有相同的AUC。其中制剂A达峰时间0.5h,峰浓度为116μg/ml,制剂B达峰时间3h,峰浓度73μg/ml.关于A、B两种制剂的说法,正确的有( )。
A.两种制剂吸收速度不同,但利用程度相当
B.A制剂相对B制剂的相对生物利用度为100%
C.B制剂相对A制剂的绝对生物和用度为100%
D.两种制剂具有生物等效性
E.两种制剂具有治疗等效性
答案:ABD
解析:AUC表示利用程度,AUC相同故利用程度相同,A正确,由于是口服给药,所以是相对生物利用度B正确,生物等效性是指一种药物的不同制剂在相同试验条件下,给相同剂量,反映其吸收程度和速度的主要药动学参数故D正确
119.表现分布容积V反映了药物在体内的分布情况。地高辛的表现分布容积V通常高达500L左右,远大于人的体液的总体积,可能的原因有( )。
A.药物与组织大量结合,而与血浆蛋白结合较少
B.药物全部分布在血液中
C.药物与组织的亲和性强,组织对药物的摄取多
D.药物与组织几乎不发生任何结合
E.药物与血浆蛋白大量结合,面与组织结合较少
答案:AC
120.环磷酰胺
为前体药物,需经体内活化才能发挥作用,经过氧化生成4-羟基环磷酰胺,进一步氧化生成无毒的4-酮基环磷酰胺,经过互变异构生产开环的醛基化合物。在肝脏进一步氧化生成无毒的羧酸化合物,而肿瘤组织中因缺乏正常组织所具有的酶不能代谢。非酶促反应β-消除生成丙烯醛和磷酰氮芥,磷酰氮芥及其他代谢产物都可经非水酶水解生成去甲氮芥,环磷酰胺在体內代谢的产物有( )
A.

B.

C.

D.

E.

答案:ABCDE
注册会员,2018年执业药师考试完整真题及答案解析及时获知!
真题汇总:
更多资讯可关注希赛网执业药师资格考试频道,问题咨询可拨打电话400-111-9811。
执业药师备考资料免费领取
去领取
专注在线职业教育25年