摘要:本文为建筑钢结构防火技术规范 GB51249-2017:8.3 钢与混凝土组合梁,内容详情如下,如需查看更多消防工程师消防规范标准,敬请关注希赛网消防工程师频道。
Ⅰ 承载力法
8.3.1 火灾下钢与混凝土组合梁的承载力验算,两端铰接时,应按式(8.3.1-1)进行;两端刚接时,应按式(8.3.1-2)进行。

式中:M一一火灾下组合梁的正弯矩设计值; ——火灾下组合梁的正弯矩承载力;
——火灾下组合梁的正弯矩承载力; ——火灾下组合梁的负弯矩承载力。
——火灾下组合梁的负弯矩承载力。
	8.3.2 火灾下钢与混凝土组合梁的正弯矩承载力应按下列规定计算:
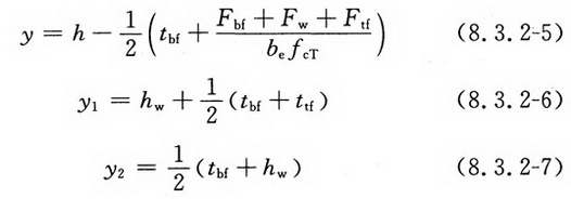
	1 当塑性中和轴在混凝土翼板内(图8.3.2-1),即behcbfcT≥Fbf+Fw+Ftf时,正弯矩承载力应按下列公式计算:



式中:fcT——高温下混凝土的抗压强度,应按本规范第5.2节确定,混凝土板的温度应按本规范第8.3.4条确定;
fT——高温下钢材的强度设计值,应按钢梁相应部分的温度根据本规范第5.1节规定确定,其中钢梁各部分的温度应按本规范第8.3.4条确定;
Ftf——高温下钢梁上翼缘的承载力;
Fw——高温下钢梁腹板的承载力;
Fbf——高温下钢梁下翼缘的承载力;
be——混凝土翼板的有效宽度,应按现行标准《钢结构设计规范》GB 50017的规定确定;
btf——钢梁上翼缘的宽度;
bbf——钢梁下翼缘的宽度;
	h——组合梁的高度;
hc1——混凝土翼板的厚度;
hc2——压型钢板托板的高度;
hcb——混凝土翼板的等效厚度,按本规范第8.3.5条确定;
hs——钢梁的高度;
hw——钢梁腹板的高度;
ttf——钢梁上翼缘的厚度;
tw——钢梁腹板的厚度;
tbf——钢梁下翼缘的厚度;
	x——混凝土翼板受压区高度;
	y——混凝土翼板受压区中心到钢梁下翼缘中心的距离;
	y1——钢梁上翼缘中心到下翼缘中心的距离;
	y2——钢梁腹板中心到下翼缘中心的距离。
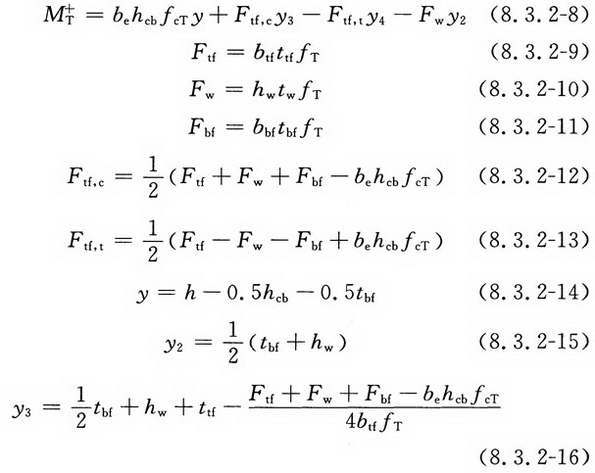
	2 当塑性中和轴在钢梁上翼缘内(图8.3.2-2),即Fbf+Fw-Ftf<behcbfcT<Fbf+Fw+Ftf时,正弯矩承载力应按下式计算:


式中:Ftf,c——钢梁上翼缘受压区的承载力;
	Ftf,t——钢梁上翼缘受拉区的承载力;
	y——混凝土翼板受压区中心到钢梁下翼缘中心的距离;
	y2——钢梁腹板中心到下翼缘中心的距离;
	y3——钢梁上翼缘受压区中心到下翼缘中心的距离;
	y4——钢梁上翼缘受拉区中心到下翼缘中心的距离。

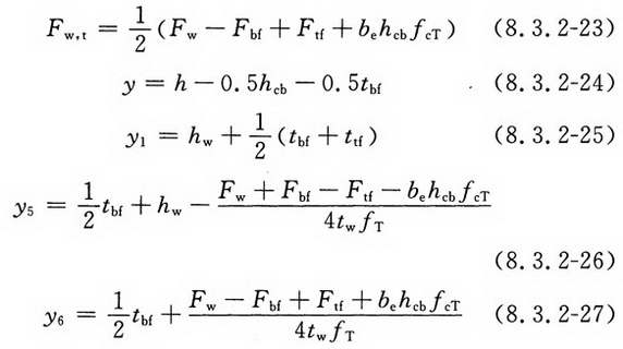
3 当塑性中和轴在钢梁腹板内(图8.3.2-3),即behcbfcT≤Fbf+Fw-Ftf时,正弯矩承载力应按下列公式计算:



式中:Fw,c——钢梁腹板受压区的承载力;
	Fw,t——钢梁腹板受拉区的承载力;
	y——混凝土翼板受压区中心到钢梁下翼缘中心的距离;
	y1——钢梁上翼缘中心到下翼缘中心的距离;
	y5——钢梁腹板受压区中心到下翼缘中心的距离;
	y6——钢梁腹板受拉区中心到下翼缘中心的距离。
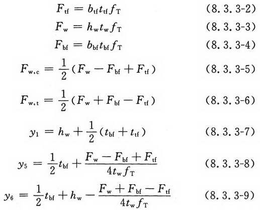
	8.3.3 火灾下钢与混凝土组合梁的负弯矩承载力应按下式计算,计算时可不考虑楼板的作用(图8.3.3)。



8.3.4 火灾下钢与混凝土组合梁的温度应按下列规定确定:
	1 标准火灾下混凝土翼板的平均温升可按表8.3.4确定;对于非标准火灾,受火时间应采用等效曝火时间。
	2 H型钢梁的温度,对于下翼缘与腹板组成的倒T型构件,应按四面受火计算截面形状系数;对于上翼缘,可按三面受火计算截面形状系数。

注:1 表中板厚是指压型钢板肋高以上混凝土板厚度;
	 2 当混凝土板厚为50mm~100mm时,升温可按表线性插值确定。
	8.3.5 混凝土翼板的等效厚度hcb,对于板肋垂直于钢梁的钢与混凝土组合梁,hcb应取肋以上的混凝土板厚;对于板肋平行于钢梁的钢与混凝土组合梁,hcb应取1/2肋高以上的混凝土板厚。
Ⅱ 临界温度法
8.3.6 火灾下钢与混凝土组合梁中钢梁腹板与下翼缘的临界温度Td,应根据其设计耐火极限tm、荷载比R和混凝土翼板的等效厚度hcb经计算确定。其中,两端铰接组合梁的临界温度应按表8.3.6-1确定,两端刚接组合梁的临界温度应按表8.3.6-2确定。

注:1 表中“一”表示在该条件下组合梁的耐火验算不适合采用临界温度法;
	 2 对于其他设计耐火极限、荷载比和混凝土翼板等效厚度,组合梁的临界温度可线性插值确定。

注:1 表中“一”表示在该条件下组合梁的耐火验算不适合采用临界温度法。
	 2 对于其他设计耐火极限、荷载比和混凝土翼板等效厚度,组合梁的临界温度可线性插值确定。
	8.3.7 火灾下钢与混凝土组合梁的荷载比R,两端铰接时,应按式(8.3.7-1)计算;两端刚接时,应按式(8.3.7-2)计算:

式中:M——火灾下组合梁的正弯矩设计值;
	M+——常温下组合梁的正弯矩承载力,应按现行标准《钢结构设计规范》GB 50017的规定计算;
M-——常温下组合梁的负弯矩承载力,可按钢梁的负弯矩承载力确定,不考虑混凝土楼板的作用。
	8.3.8 钢与混凝土组合梁的防火保护设计,应根据组合梁的临界温度Td、无防火保护的钢梁腹板与下翼缘组成的倒T型构件在设计耐火极限tm内的较高温度Tm经计算确定。其中,较高温度Tm应按本规范第6.2.1条计算确定。
	当临界温度Td小于或等于较高温度Tm时,组合梁应采取防火保护措施。防火保护层的设计厚度应按本规范第7.2.8条、第7.2.9条的规定计算确定;其中,截面形状系数Fi/V应取腹板、下翼缘组成的倒T型构件作为验算截面计算。钢梁上翼缘的防火保护层厚度可与腹板及下翼缘的防火保护层厚度相同。当临界温度Td大于较高温度Tm时,组合梁可不采取防火保护措施。
条文说明
8.3 钢与混凝土组合梁
采用承载力法进行组合梁耐火验算与防火保护设计的计算步骤可参照第7.1节条文说明。
	8.3.1~8.3.3 火灾下钢与混凝土组合梁的承载力,与常温下一样可按塑性计算,但应考虑温度对混凝土强度、钢材强度的影响。在少数情况下,组合梁在负弯矩作用下,塑性中和轴可能在钢梁上翼缘内,对此可基于受力平衡原理计算火灾下组合梁的负弯矩承载力。
	8.3.4 
火灾下混凝土板的温度沿厚度方向分布不均匀。研究表明,假设板内温度均匀,并取楼板的平均温度为楼板的代表温度,组合梁承载力计算结果的误差较小,可满足工程设计要求。组合梁中钢梁上翼缘的温度接近混凝土顶板的温度,明显低于腹板、下翼缘的温度,因此火灾下组合梁可以分为两部分分别计算温升:下翼缘与腹板组成的倒T型构件,按四面受火计算;上翼缘,按三面受火计算。上翼缘按三面受火计算的温度偏高,承载力验算结果是偏安全的。
	8.3.5 混凝土翼板的等效厚度hcb的取值可参见图19。

采用临界温度法进行组合梁耐火验算与防火保护设计较为简单,因为常温下组合梁设计就需要确定其正、负弯矩承载力,故荷载比容易确定。临界温度法的计算步骤可参照第7.2节条文说明。
	8.3.6 条文中钢与混凝土组合梁的临界温度表8.3.6-1和表8.3.6-2,是根据本规范第8.3.1条~第8.3.3条钢与混凝土组合梁的耐火承载力计算公式通过数值计算得到的。混凝土翼板的等效厚度hcb应按本规范第8.3.5条的规定确定。
 
                                     
                                        注册消防工程师备考资料免费领取
去领取
 专注在线职业教育24年
				专注在线职业教育24年